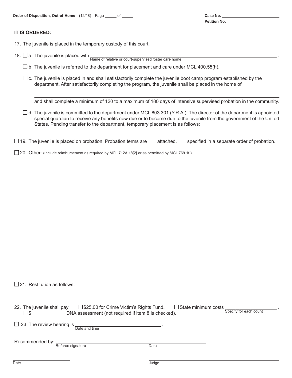
Form JC14B Order of Disposition, out-Of-Home (Delinquency Proceedings) - Michigan

Notification Icon This version of the form is not currently in use and is provided for reference only. Download this version of Form JC14B for the current year.

Form JC14B Order of Disposition, out-Of-Home (Delinquency Proceedings) - Michigan

What Is Form JC14B?

This is a legal form that was released by the Michigan Juvenile Court - a government authority operating within Michigan. As of today, no separate filing guidelines for the form are provided by the issuing department.

FAQ

Q: What is Form JC14B?
A: Form JC14B is an Order of Disposition used in out-of-home delinquency proceedings in Michigan.

Q: What is an out-of-home delinquency proceeding?
A: An out-of-home delinquency proceeding is a legal process involving a juvenile who is charged with a delinquent act and is placed in a temporary out-of-home placement.

Q: Who uses Form JC14B?
A: Form JC14B is used by the court to document the order of disposition for the juvenile in an out-of-home delinquency proceeding.

Q: What information does Form JC14B contain?
A: Form JC14B contains information regarding the juvenile's background, the delinquent act, and the court's decision regarding placement and services.

Q: What should I do if I have questions about Form JC14B?
A: If you have any questions about Form JC14B or the out-of-home delinquency proceeding, it is recommended to consult with an attorney or contact the court for assistance.

ADVERTISEMENT

Form Details:

  • Released on December 1, 2018;
  • The latest edition provided by the Michigan Juvenile Court;
  • Easy to use and ready to print;
  • Quick to customize;
  • Compatible with most PDF-viewing applications;
  • Fill out the form in our online filing application.

Download a fillable version of Form JC14B by clicking the link below or browse more documents and templates provided by the Michigan Juvenile Court.

Download Form JC14B Order of Disposition, out-Of-Home (Delinquency Proceedings) - Michigan

4.4 of 5 (47 votes)
  • Form JC14B Order of Disposition, out-Of-Home (Delinquency Proceedings) - Michigan

    1

  • Form JC14B Order of Disposition, out-Of-Home (Delinquency Proceedings) - Michigan, Page 2

    2

  • Form JC14B Order of Disposition, out-Of-Home (Delinquency Proceedings) - Michigan, Page 3

    3

  • Form JC14B Order of Disposition, out-Of-Home (Delinquency Proceedings) - Michigan, Page 1
  • Form JC14B Order of Disposition, out-Of-Home (Delinquency Proceedings) - Michigan, Page 2
  • Form JC14B Order of Disposition, out-Of-Home (Delinquency Proceedings) - Michigan, Page 3
Prev 1 2 3 Next
ADVERTISEMENT