Form JC14B Order of Disposition, out-Of-Home (Delinquency Proceedings) - Michigan

Form JC14B Order of Disposition, out-Of-Home (Delinquency Proceedings) - Michigan

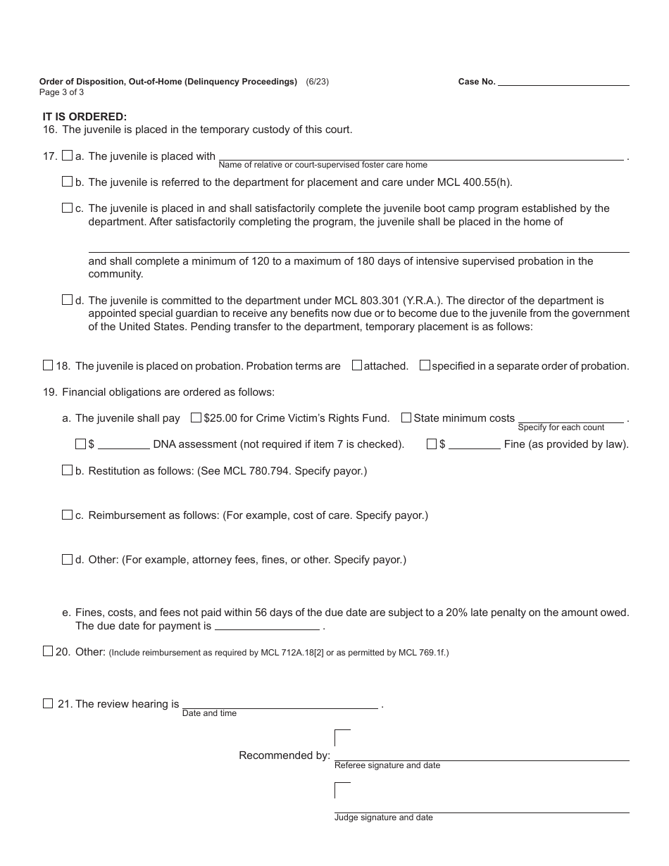
What Is Form JC14B?

This is a legal form that was released by the Michigan Circuit Court - a government authority operating within Michigan. As of today, no separate filing guidelines for the form are provided by the issuing department.

FAQ

Q: What is Form JC14B?
A: Form JC14B is the Order of Disposition for Out-of-Home Placement in Juvenile Delinquency Proceedings in Michigan.

Q: What is the purpose of Form JC14B?
A: The purpose of Form JC14B is to determine the appropriate placement for a juvenile involved in delinquency proceedings.

Q: Who can use Form JC14B?
A: Form JC14B can be used by judges, probation officers, attorneys, and other parties involved in juvenile delinquency proceedings in Michigan.

Q: What does the form entail?
A: The form includes details about the juvenile, the offense committed, recommendations for placement, and the judge's final decision on the placement.

Q: What factors are considered for placement?
A: The judge considers factors such as the seriousness of the offense, the needs of the juvenile, the availability of appropriate services, and the safety of the community.

Q: Can the placement be challenged?
A: Yes, parties involved in the proceedings, including the juvenile and their attorney, have the right to request a review or modification of the placement decision.

ADVERTISEMENT

Form Details:

  • Released on June 1, 2023;
  • The latest edition provided by the Michigan Circuit Court;
  • Easy to use and ready to print;
  • Quick to customize;
  • Compatible with most PDF-viewing applications;
  • Fill out the form in our online filing application.

Download a fillable version of Form JC14B by clicking the link below or browse more documents and templates provided by the Michigan Circuit Court.

Download Form JC14B Order of Disposition, out-Of-Home (Delinquency Proceedings) - Michigan

4.7 of 5 (36 votes)
  • Form JC14B Order of Disposition, out-Of-Home (Delinquency Proceedings) - Michigan

    1

  • Form JC14B Order of Disposition, out-Of-Home (Delinquency Proceedings) - Michigan, Page 2

    2

  • Form JC14B Order of Disposition, out-Of-Home (Delinquency Proceedings) - Michigan, Page 3

    3

  • Form JC14B Order of Disposition, out-Of-Home (Delinquency Proceedings) - Michigan, Page 1
  • Form JC14B Order of Disposition, out-Of-Home (Delinquency Proceedings) - Michigan, Page 2
  • Form JC14B Order of Disposition, out-Of-Home (Delinquency Proceedings) - Michigan, Page 3
Prev 1 2 3 Next
ADVERTISEMENT