Form DIV1101 Response to a Request for Temporary Relief Pending Final Hearing With Children - Minnesota

Form DIV1101 Response to a Request for Temporary Relief Pending Final Hearing With Children - Minnesota

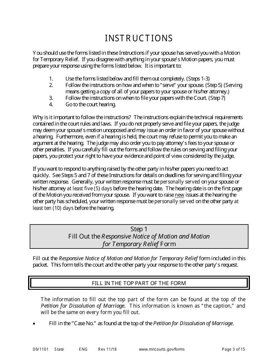
What Is Form DIV1101?

This is a legal form that was released by the Minnesota Judicial Branch - a government authority operating within Minnesota. As of today, no separate filing guidelines for the form are provided by the issuing department.

FAQ

Q: What is DIV1101?
A: DIV1101 is a response form used in Minnesota for a request fortemporary relief pending a final hearing with children.

Q: What is temporary relief?
A: Temporary relief refers to court orders that are put in place before a final hearing to address certain issues.

Q: Who can use the DIV1101 form?
A: Any party involved in a pending family court case in Minnesota who wants to request temporary relief with children can use the DIV1101 form.

Q: What is a final hearing?
A: A final hearing is the court proceeding where the judge makes final decisions on the issues in a family court case.

Q: What kind of relief can be requested with the DIV1101 form?
A: The DIV1101 form allows parties to request relief related to child custody, visitation, child support, spousal maintenance, use of property, or other related matters.

Q: When should the DIV1101 form be filed?
A: The DIV1101 form should be filed as soon as possible after receiving a request for temporary relief from the other party.

Q: Are there any requirements for filing the DIV1101 form?
A: Yes, the form must be filed with the required fee and any accompanying documents or evidence supporting the request for temporary relief.

Q: What happens after the DIV1101 form is filed?
A: After filing the DIV1101 form, the court will review the request and may schedule a hearing to consider the temporary relief request.

Q: Can the DIV1101 form be used in other states?
A: No, the DIV1101 form is specific to family court cases in Minnesota and may not be applicable in other states.

ADVERTISEMENT

Form Details:

  • Released on November 1, 2018;
  • The latest edition provided by the Minnesota Judicial Branch;
  • Easy to use and ready to print;
  • Quick to customize;
  • Compatible with most PDF-viewing applications;
  • Fill out the form in our online filing application.

Download a printable version of Form DIV1101 by clicking the link below or browse more documents and templates provided by the Minnesota Judicial Branch.

Download Form DIV1101 Response to a Request for Temporary Relief Pending Final Hearing With Children - Minnesota

4.6 of 5 (89 votes)
  • Form DIV1101 Response to a Request for Temporary Relief Pending Final Hearing With Children - Minnesota

    1

  • Form DIV1101 Response to a Request for Temporary Relief Pending Final Hearing With Children - Minnesota, Page 2

    2

  • Form DIV1101 Response to a Request for Temporary Relief Pending Final Hearing With Children - Minnesota, Page 3

    3

  • Form DIV1101 Response to a Request for Temporary Relief Pending Final Hearing With Children - Minnesota, Page 4

    4

  • Form DIV1101 Response to a Request for Temporary Relief Pending Final Hearing With Children - Minnesota, Page 5

    5

  • Form DIV1101 Response to a Request for Temporary Relief Pending Final Hearing With Children - Minnesota, Page 6

    6

  • Form DIV1101 Response to a Request for Temporary Relief Pending Final Hearing With Children - Minnesota, Page 7

    7

  • Form DIV1101 Response to a Request for Temporary Relief Pending Final Hearing With Children - Minnesota, Page 8

    8

  • Form DIV1101 Response to a Request for Temporary Relief Pending Final Hearing With Children - Minnesota, Page 9

    9

  • Form DIV1101 Response to a Request for Temporary Relief Pending Final Hearing With Children - Minnesota, Page 10

    10

  • Form DIV1101 Response to a Request for Temporary Relief Pending Final Hearing With Children - Minnesota, Page 11

    11

  • Form DIV1101 Response to a Request for Temporary Relief Pending Final Hearing With Children - Minnesota, Page 12

    12

  • Form DIV1101 Response to a Request for Temporary Relief Pending Final Hearing With Children - Minnesota, Page 13

    13

  • Form DIV1101 Response to a Request for Temporary Relief Pending Final Hearing With Children - Minnesota, Page 14

    14

  • Form DIV1101 Response to a Request for Temporary Relief Pending Final Hearing With Children - Minnesota, Page 15

    15

  • Form DIV1101 Response to a Request for Temporary Relief Pending Final Hearing With Children - Minnesota, Page 1
  • Form DIV1101 Response to a Request for Temporary Relief Pending Final Hearing With Children - Minnesota, Page 2
  • Form DIV1101 Response to a Request for Temporary Relief Pending Final Hearing With Children - Minnesota, Page 3
  • Form DIV1101 Response to a Request for Temporary Relief Pending Final Hearing With Children - Minnesota, Page 4
  • Form DIV1101 Response to a Request for Temporary Relief Pending Final Hearing With Children - Minnesota, Page 5
  • Form DIV1101 Response to a Request for Temporary Relief Pending Final Hearing With Children - Minnesota, Page 6
  • Form DIV1101 Response to a Request for Temporary Relief Pending Final Hearing With Children - Minnesota, Page 7
  • Form DIV1101 Response to a Request for Temporary Relief Pending Final Hearing With Children - Minnesota, Page 8
  • Form DIV1101 Response to a Request for Temporary Relief Pending Final Hearing With Children - Minnesota, Page 9
  • Form DIV1101 Response to a Request for Temporary Relief Pending Final Hearing With Children - Minnesota, Page 10
  • Form DIV1101 Response to a Request for Temporary Relief Pending Final Hearing With Children - Minnesota, Page 11
  • Form DIV1101 Response to a Request for Temporary Relief Pending Final Hearing With Children - Minnesota, Page 12
  • Form DIV1101 Response to a Request for Temporary Relief Pending Final Hearing With Children - Minnesota, Page 13
  • Form DIV1101 Response to a Request for Temporary Relief Pending Final Hearing With Children - Minnesota, Page 14
  • Form DIV1101 Response to a Request for Temporary Relief Pending Final Hearing With Children - Minnesota, Page 15
Prev 1 2 3 4 5 ... 15 Next
ADVERTISEMENT