New / Renewal Radiopharmacy License Checklist - Radioactive Materials (Ram) Program - Nevada

New / Renewal Radiopharmacy License Checklist - Radioactive Materials (Ram) Program - Nevada

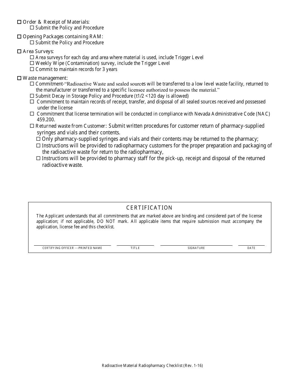
New / Renewal Radiopharmacy License Checklist - Radioactive Materials (Ram) Program is a legal document that was released by the Nevada Department of Health and Human Services - a government authority operating within Nevada.

FAQ

Q: What is a Radiopharmacy license?
A: A Radiopharmacy license is a license required to handle and distribute radioactive materials used in nuclear medicine.

Q: What is the Ram program in Nevada?
A: The Ram program in Nevada refers to the Radioactive Materials Program, which is responsible for regulating the use and handling of radioactive materials.

Q: What is the purpose of the New/Renewal Radiopharmacy license checklist?
A: The purpose of the New/Renewal Radiopharmacy license checklist is to provide a list of requirements and documents that need to be submitted when applying for a new or renewal Radiopharmacy license.

Q: What should be included in the license application?
A: The license application should include completed forms, a description of the facility, a radiation safety program, financial assurance, and other relevant documentation.

Q: Are there any training requirements for Radiopharmacy license holders?
A: Yes, Radiopharmacy license holders are required to complete training in radiation safety and handling of radioactive materials.

Q: Are inspections conducted for Radiopharmacy license holders?
A: Yes, inspections are conducted to ensure compliance with the regulations and requirements of the Radiopharmacy license.

Q: How long is a Radiopharmacy license valid for?
A: A Radiopharmacy license is valid for one year and needs to be renewed annually.

Q: Is there a fee for obtaining or renewing a Radiopharmacy license?
A: Yes, there is a fee associated with obtaining or renewing a Radiopharmacy license. The fee amount may vary.

Q: Who should I contact for more information about the Radiopharmacy license?
A: For more information about the Radiopharmacy license, you can contact the Radioactive Materials Program in Nevada.

ADVERTISEMENT

Form Details:

  • Released on January 1, 2016;
  • The latest edition currently provided by the Nevada Department of Health and Human Services;
  • Ready to use and print;
  • Easy to customize;
  • Compatible with most PDF-viewing applications;
  • Fill out the form in our online filing application.

Download a fillable version of the form by clicking the link below or browse more documents and templates provided by the Nevada Department of Health and Human Services.

Download New / Renewal Radiopharmacy License Checklist - Radioactive Materials (Ram) Program - Nevada

4.7 of 5 (9 votes)
  • New / Renewal Radiopharmacy License Checklist - Radioactive Materials (Ram) Program - Nevada

    1

  • New / Renewal Radiopharmacy License Checklist - Radioactive Materials (Ram) Program - Nevada, Page 2

    2

  • New / Renewal Radiopharmacy License Checklist - Radioactive Materials (Ram) Program - Nevada, Page 3

    3

  • New / Renewal Radiopharmacy License Checklist - Radioactive Materials (Ram) Program - Nevada, Page 4

    4

  • New / Renewal Radiopharmacy License Checklist - Radioactive Materials (Ram) Program - Nevada, Page 1
  • New / Renewal Radiopharmacy License Checklist - Radioactive Materials (Ram) Program - Nevada, Page 2
  • New / Renewal Radiopharmacy License Checklist - Radioactive Materials (Ram) Program - Nevada, Page 3
  • New / Renewal Radiopharmacy License Checklist - Radioactive Materials (Ram) Program - Nevada, Page 4
Prev 1 2 3 4 Next
ADVERTISEMENT