Radioactive Materials (Ram) Fixed Gauge Licensing Checklist - Nevada

Radioactive Materials (Ram) Fixed Gauge Licensing Checklist - Nevada

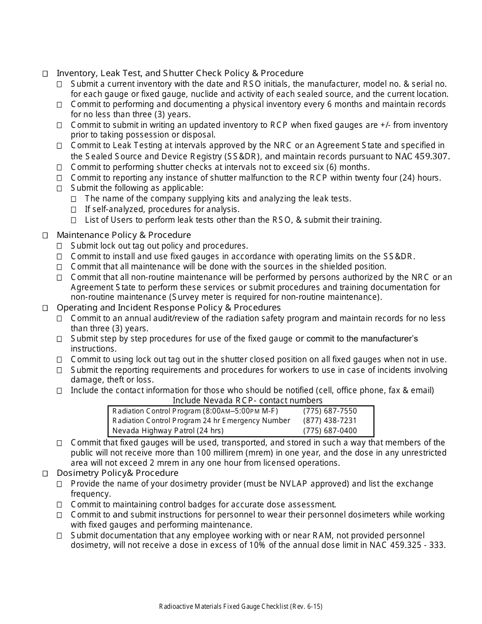
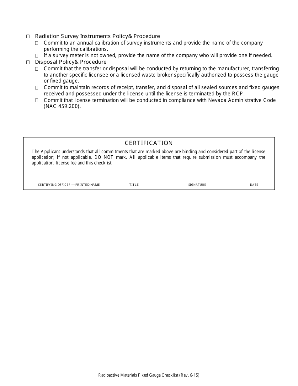
Radioactive Materials (Ram) Fixed Gauge Licensing Checklist is a legal document that was released by the Nevada Department of Health and Human Services - a government authority operating within Nevada.

FAQ

Q: What is the purpose of the Radioactive Materials (RAM) Fixed Gauge Licensing Checklist in Nevada?
A: The purpose of the RAM Fixed Gauge Licensing Checklist is to ensure compliance with regulations for the use of radioactive materials in fixed gauges in Nevada.

Q: Who needs to use the RAM Fixed Gauge Licensing Checklist?
A: Anyone who uses radioactive materials in fixed gauges in Nevada needs to use the RAM Fixed Gauge Licensing Checklist.

Q: What does the RAM Fixed Gauge Licensing Checklist help with?
A: The RAM Fixed Gauge Licensing Checklist helps in ensuring compliance with regulations, obtaining proper licensing, and maintaining safety when using radioactive materials in fixed gauges.

Q: Are there specific requirements for obtaining a license for using radioactive materials in fixed gauges in Nevada?
A: Yes, there are specific requirements for obtaining a license for using radioactive materials in fixed gauges in Nevada that need to be met.

ADVERTISEMENT

Form Details:

  • Released on January 1, 2016;
  • The latest edition currently provided by the Nevada Department of Health and Human Services;
  • Ready to use and print;
  • Easy to customize;
  • Compatible with most PDF-viewing applications;
  • Fill out the form in our online filing application.

Download a fillable version of the form by clicking the link below or browse more documents and templates provided by the Nevada Department of Health and Human Services.

Download Radioactive Materials (Ram) Fixed Gauge Licensing Checklist - Nevada

4.6 of 5 (13 votes)
  • Radioactive Materials (Ram) Fixed Gauge Licensing Checklist - Nevada

    1

  • Radioactive Materials (Ram) Fixed Gauge Licensing Checklist - Nevada, Page 2

    2

  • Radioactive Materials (Ram) Fixed Gauge Licensing Checklist - Nevada, Page 3

    3

  • Radioactive Materials (Ram) Fixed Gauge Licensing Checklist - Nevada, Page 1
  • Radioactive Materials (Ram) Fixed Gauge Licensing Checklist - Nevada, Page 2
  • Radioactive Materials (Ram) Fixed Gauge Licensing Checklist - Nevada, Page 3
Prev 1 2 3 Next
ADVERTISEMENT