New / Renewal Medical License Checklist -radioactive Materials (Ram) Program - Nevada

New / Renewal Medical License Checklist -radioactive Materials (Ram) Program - Nevada

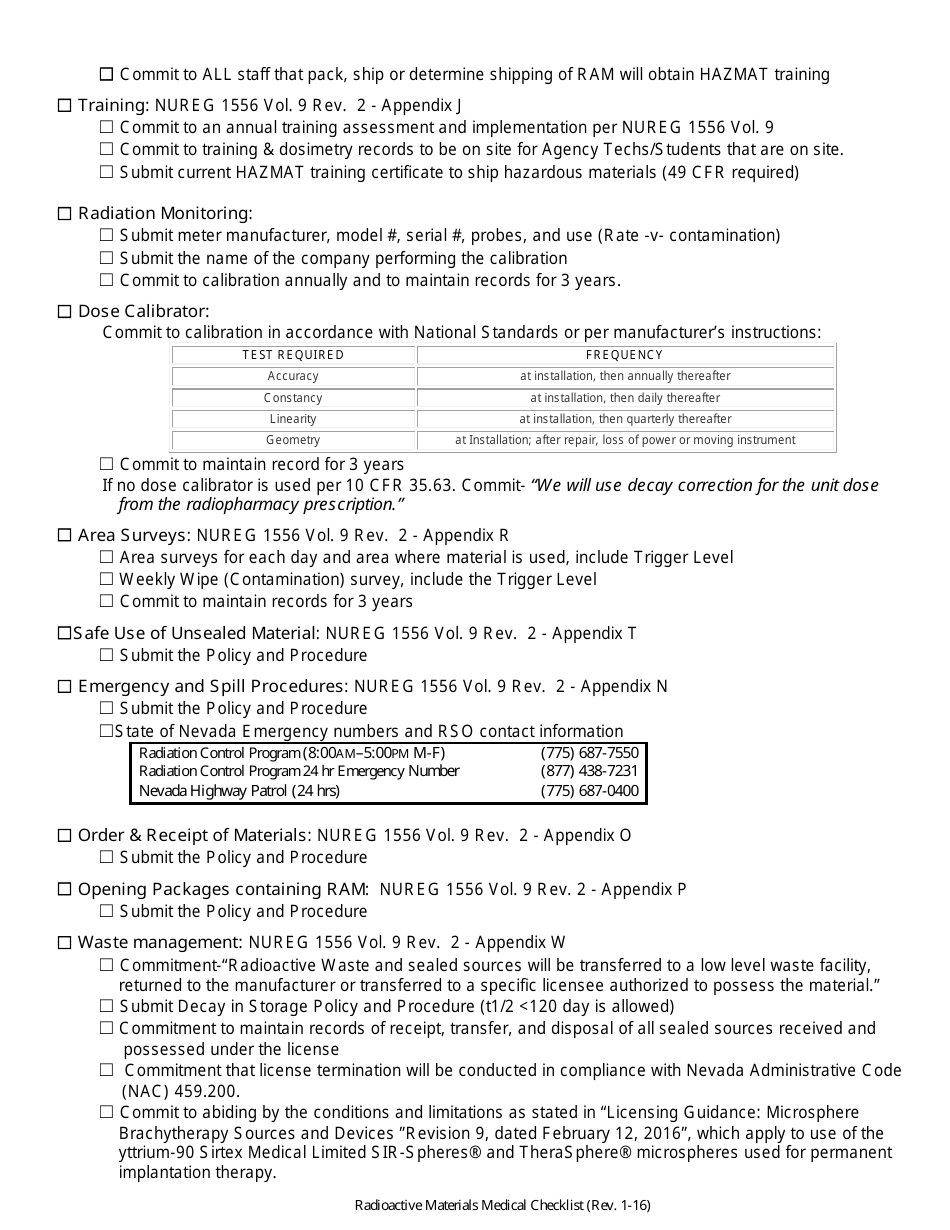
New / Renewal Medical License Checklist -radioactive Materials (Ram) Program is a legal document that was released by the Nevada Department of Health and Human Services - a government authority operating within Nevada.

FAQ

Q: What is the New/Renewal Medical License Checklist for Radioactive Materials (RAM) Program in Nevada?
A: The New/Renewal Medical License Checklist for Radioactive Materials (RAM) Program in Nevada is a checklist to guide individuals or facilities in obtaining or renewing a medical license for handling radioactive materials.

Q: Who needs a medical license for the Radioactive Materials (RAM) Program in Nevada?
A: Individuals or facilities that handle radioactive materials for medical purposes in Nevada need a medical license for the Radioactive Materials (RAM) Program.

Q: What is the purpose of the checklist?
A: The checklist provides a step-by-step guide to ensure all the necessary requirements and documentation are met for obtaining or renewing a medical license for the Radioactive Materials (RAM) Program.

Q: What are some items that may be included in the checklist?
A: The checklist may include items such as application forms, documentation of training and education, radiation safety policies and procedures, and facility inspections.

ADVERTISEMENT

Form Details:

  • Released on January 1, 2016;
  • The latest edition currently provided by the Nevada Department of Health and Human Services;
  • Ready to use and print;
  • Easy to customize;
  • Compatible with most PDF-viewing applications;
  • Fill out the form in our online filing application.

Download a fillable version of the form by clicking the link below or browse more documents and templates provided by the Nevada Department of Health and Human Services.

Download New / Renewal Medical License Checklist -radioactive Materials (Ram) Program - Nevada

4.9 of 5 (7 votes)
  • New / Renewal Medical License Checklist -radioactive Materials (Ram) Program - Nevada

    1

  • New / Renewal Medical License Checklist -radioactive Materials (Ram) Program - Nevada, Page 2

    2

  • New / Renewal Medical License Checklist -radioactive Materials (Ram) Program - Nevada, Page 3

    3

  • New / Renewal Medical License Checklist -radioactive Materials (Ram) Program - Nevada, Page 4

    4

  • New / Renewal Medical License Checklist -radioactive Materials (Ram) Program - Nevada, Page 5

    5

  • New / Renewal Medical License Checklist -radioactive Materials (Ram) Program - Nevada, Page 6

    6

  • New / Renewal Medical License Checklist -radioactive Materials (Ram) Program - Nevada, Page 7

    7

  • New / Renewal Medical License Checklist -radioactive Materials (Ram) Program - Nevada, Page 1
  • New / Renewal Medical License Checklist -radioactive Materials (Ram) Program - Nevada, Page 2
  • New / Renewal Medical License Checklist -radioactive Materials (Ram) Program - Nevada, Page 3
  • New / Renewal Medical License Checklist -radioactive Materials (Ram) Program - Nevada, Page 4
  • New / Renewal Medical License Checklist -radioactive Materials (Ram) Program - Nevada, Page 5
  • New / Renewal Medical License Checklist -radioactive Materials (Ram) Program - Nevada, Page 6
  • New / Renewal Medical License Checklist -radioactive Materials (Ram) Program - Nevada, Page 7
Prev 1 2 3 4 5 ... 7 Next
ADVERTISEMENT

Related Documents