Form PERM33 Highway Work Permit Application for Non-utility Work - New York

Notification Icon This version of the form is not currently in use and is provided for reference only. Download this version of Form PERM33 for the current year.

Form PERM33 Highway Work Permit Application for Non-utility Work - New York

What Is Form PERM33?

This is a legal form that was released by the New York State Department of Transportation - a government authority operating within New York. As of today, no separate filing guidelines for the form are provided by the issuing department.

FAQ

Q: What is the PERM33 Highway Work Permit Application?
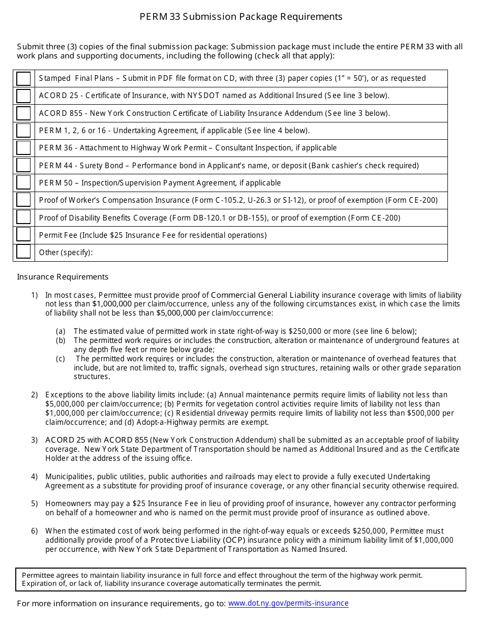
A: The PERM33 Highway Work Permit Application is a form used for applying for a permit to perform non-utility work on highways in New York.

Q: Who needs to submit the PERM33 Highway Work Permit Application?
A: Anyone who wants to perform non-utility work on highways in New York needs to submit the PERM33 Highway Work Permit Application.

Q: What is considered non-utility work?
A: Non-utility work refers to any work that is not related to utilities, such as construction, maintenance, or repairs.

Q: What information is required on the PERM33 Highway Work Permit Application?
A: The PERM33 Highway Work Permit Application requires information such as project details, applicant information, and insurance documentation.

Q: Is there a fee for submitting the PERM33 Highway Work Permit Application?
A: Yes, there is a fee for submitting the PERM33 Highway Work Permit Application. The fee amount may vary, so it is best to check with the NYSDOT for the current fee schedule.

Q: How long does it take to process the PERM33 Highway Work Permit Application?
A: The processing time for the PERM33 Highway Work Permit Application can vary. It is recommended to submit the application well in advance of the planned work date to allow for processing.

Q: Are there any specific requirements or restrictions for the PERM33 Highway Work Permit Application?
A: Yes, there are specific requirements and restrictions for the PERM33 Highway Work Permit Application. These may include obtaining necessary approvals, providing proof of insurance, and adhering to safety guidelines.

Q: Can I start work before receiving the PERM33 Highway Work Permit?
A: No, it is not allowed to start work before receiving the PERM33 Highway Work Permit. The permit must be obtained before beginning any non-utility work on highways.

Q: Who should I contact for more information about the PERM33 Highway Work Permit Application?
A: For more information about the PERM33 Highway Work Permit Application, you can contact the New York State Department of Transportation (NYSDOT).

ADVERTISEMENT

Form Details:

  • Released on July 1, 2015;
  • The latest edition provided by the New York State Department of Transportation;
  • Easy to use and ready to print;
  • Quick to customize;
  • Compatible with most PDF-viewing applications;
  • Fill out the form in our online filing application.

Download a fillable version of Form PERM33 by clicking the link below or browse more documents and templates provided by the New York State Department of Transportation.

Download Form PERM33 Highway Work Permit Application for Non-utility Work - New York

4.4 of 5 (12 votes)
  • Form PERM33 Highway Work Permit Application for Non-utility Work - New York

    1

  • Form PERM33 Highway Work Permit Application for Non-utility Work - New York, Page 2

    2

  • Form PERM33 Highway Work Permit Application for Non-utility Work - New York, Page 3

    3

  • Form PERM33 Highway Work Permit Application for Non-utility Work - New York, Page 4

    4

  • Form PERM33 Highway Work Permit Application for Non-utility Work - New York, Page 5

    5

  • Form PERM33 Highway Work Permit Application for Non-utility Work - New York, Page 6

    6

  • Form PERM33 Highway Work Permit Application for Non-utility Work - New York, Page 1
  • Form PERM33 Highway Work Permit Application for Non-utility Work - New York, Page 2
  • Form PERM33 Highway Work Permit Application for Non-utility Work - New York, Page 3
  • Form PERM33 Highway Work Permit Application for Non-utility Work - New York, Page 4
  • Form PERM33 Highway Work Permit Application for Non-utility Work - New York, Page 5
  • Form PERM33 Highway Work Permit Application for Non-utility Work - New York, Page 6
Prev 1 2 3 4 5 6 Next
ADVERTISEMENT

Related Documents