Form NHJB-2855-D Acknowledgment of Rights - Class a Misdemeanor Dwi 3rd - New Hampshire

Form NHJB-2855-D Acknowledgment of Rights - Class a Misdemeanor Dwi 3rd - New Hampshire

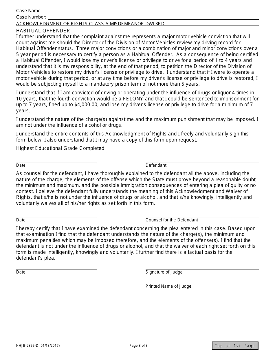
What Is Form NHJB-2855-D?

This is a legal form that was released by the New Hampshire Judicial Branch - a government authority operating within New Hampshire. As of today, no separate filing guidelines for the form are provided by the issuing department.

FAQ

Q: What is NHJB-2855-D?
A: NHJB-2855-D is an Acknowledgment of Rights form specific to Class A Misdemeanor DWI 3rd offenses in New Hampshire.

Q: What is a Class A Misdemeanor DWI 3rd offense?
A: A Class A Misdemeanor DWI 3rd offense refers to a third charge of driving while intoxicated (DWI) in New Hampshire, which is considered a serious offense.

Q: What does the NHJB-2855-D form acknowledge?
A: The NHJB-2855-D form acknowledges the rights of the individual facing charges for a Class A Misdemeanor DWI 3rd offense.

Q: Why is the NHJB-2855-D form significant?
A: The NHJB-2855-D form is significant as it ensures that individuals facing charges for Class A Misdemeanor DWI 3rd offenses in New Hampshire are aware of their rights during the legal process.

Q: Can I fill out the NHJB-2855-D form myself?
A: Yes, you can fill out the NHJB-2855-D form yourself, but it is recommended to seek legal advice or assistance to ensure its proper completion.

Q: What should I do with the NHJB-2855-D form once completed?
A: Once completed, you should file the NHJB-2855-D form with the court handling your Class A Misdemeanor DWI 3rd offense case.

Q: Is the NHJB-2855-D form specific to New Hampshire?
A: Yes, the NHJB-2855-D form is specific to New Hampshire and its laws regarding Class A Misdemeanor DWI 3rd offenses.

ADVERTISEMENT

Form Details:

  • Released on January 13, 2017;
  • The latest edition provided by the New Hampshire Judicial Branch;
  • Easy to use and ready to print;
  • Quick to customize;
  • Compatible with most PDF-viewing applications;
  • Fill out the form in our online filing application.

Download a fillable version of Form NHJB-2855-D by clicking the link below or browse more documents and templates provided by the New Hampshire Judicial Branch.

Download Form NHJB-2855-D Acknowledgment of Rights - Class a Misdemeanor Dwi 3rd - New Hampshire

4.7 of 5 (17 votes)
  • Form NHJB-2855-D Acknowledgment of Rights - Class a Misdemeanor Dwi 3rd - New Hampshire

    1

  • Form NHJB-2855-D Acknowledgment of Rights - Class a Misdemeanor Dwi 3rd - New Hampshire, Page 2

    2

  • Form NHJB-2855-D Acknowledgment of Rights - Class a Misdemeanor Dwi 3rd - New Hampshire, Page 3

    3

  • Form NHJB-2855-D Acknowledgment of Rights - Class a Misdemeanor Dwi 3rd - New Hampshire, Page 1
  • Form NHJB-2855-D Acknowledgment of Rights - Class a Misdemeanor Dwi 3rd - New Hampshire, Page 2
  • Form NHJB-2855-D Acknowledgment of Rights - Class a Misdemeanor Dwi 3rd - New Hampshire, Page 3
Prev 1 2 3 Next
ADVERTISEMENT

Related Documents