Mine Operation Plan (Mop) - New Mexico

Mine Operation Plan (Mop) - New Mexico

Mine Operation Plan (Mop) is a legal document that was released by the New Mexico State Land Office - a government authority operating within New Mexico.

FAQ

Q: What is a Mine Operation Plan (MOP)?
A: A Mine Operation Plan (MOP) is a detailed document that outlines the procedures and activities involved in the operation of a mine.

Q: Why is a Mine Operation Plan (MOP) required?
A: A Mine Operation Plan (MOP) is required to ensure that mining activities are carried out in a safe and environmentally responsible manner.

Q: What does a Mine Operation Plan (MOP) include?
A: A Mine Operation Plan (MOP) typically includes information about the mine site, the mining methods, the environmental protection measures, the reclamation plan, and the health and safety protocols.

Q: Who is responsible for preparing a Mine Operation Plan (MOP)?
A: The mine operator or owner is responsible for preparing a Mine Operation Plan (MOP).

Q: Who reviews and approves a Mine Operation Plan (MOP)?
A: The Mine Safety and Health Administration (MSHA) reviews and approves Mine Operation Plans (MOPs) to ensure compliance with safety and environmental regulations.

Q: What happens if a Mine Operation Plan (MOP) is not followed?
A: If a Mine Operation Plan (MOP) is not followed, it can result in safety hazards, environmental damage, and potential legal consequences.

ADVERTISEMENT

Form Details:

  • Released on February 19, 2018;
  • The latest edition currently provided by the New Mexico State Land Office;
  • Ready to use and print;
  • Easy to customize;
  • Compatible with most PDF-viewing applications;
  • Fill out the form in our online filing application.

Download a fillable version of the form by clicking the link below or browse more documents and templates provided by the New Mexico State Land Office.

Download Mine Operation Plan (Mop) - New Mexico

4.5 of 5 (35 votes)
  • Mine Operation Plan (Mop) - New Mexico

    1

  • Mine Operation Plan (Mop) - New Mexico, Page 2

    2

  • Mine Operation Plan (Mop) - New Mexico, Page 3

    3

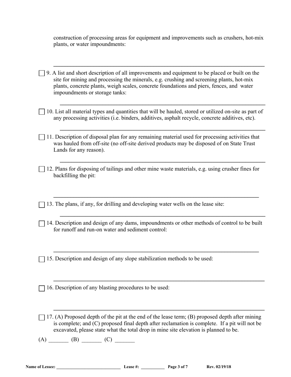
  • Mine Operation Plan (Mop) - New Mexico, Page 4

    4

  • Mine Operation Plan (Mop) - New Mexico, Page 5

    5

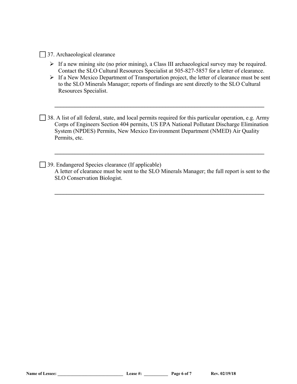
  • Mine Operation Plan (Mop) - New Mexico, Page 6

    6

  • Mine Operation Plan (Mop) - New Mexico, Page 7

    7

  • Mine Operation Plan (Mop) - New Mexico, Page 1
  • Mine Operation Plan (Mop) - New Mexico, Page 2
  • Mine Operation Plan (Mop) - New Mexico, Page 3
  • Mine Operation Plan (Mop) - New Mexico, Page 4
  • Mine Operation Plan (Mop) - New Mexico, Page 5
  • Mine Operation Plan (Mop) - New Mexico, Page 6
  • Mine Operation Plan (Mop) - New Mexico, Page 7
Prev 1 2 3 4 5 ... 7 Next
ADVERTISEMENT