Bluestone Exploration Authorization Application - New York

Bluestone Exploration Authorization Application - New York

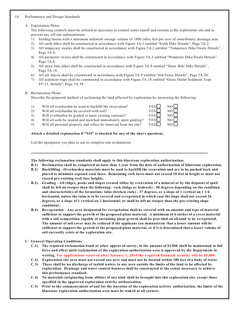
Bluestone Exploration Authorization Application is a legal document that was released by the New York State Department of Environmental Conservation - a government authority operating within New York.

FAQ

Q: What is the Bluestone Exploration Authorization Application?
A: The Bluestone Exploration Authorization Application is a process to obtain permission to explore for bluestone in New York.

Q: What is bluestone?
A: Bluestone is a type of fine-grained sandstone used for construction and landscaping purposes.

Q: How can I apply for a Bluestone Exploration Authorization?
A: To apply for a Bluestone Exploration Authorization, you need to submit an application to the New York State Department of Environmental Conservation.

Q: What is the purpose of exploring for bluestone?
A: The purpose of exploring for bluestone is to assess the quality and quantity of bluestone deposits for potential extraction.

Q: Are there any regulations or requirements for bluestone exploration?
A: Yes, there are regulations and requirements set by the New York State Department of Environmental Conservation that need to be followed during bluestone exploration.

Q: Is a Bluestone Exploration Authorization the same as a mining permit?
A: No, a Bluestone Exploration Authorization is not the same as a mining permit. It only authorizes the exploration phase and does not grant permission for extraction or mining.

ADVERTISEMENT

Form Details:

  • The latest edition currently provided by the New York State Department of Environmental Conservation;
  • Ready to use and print;
  • Easy to customize;
  • Compatible with most PDF-viewing applications;
  • Fill out the form in our online filing application.

Download a fillable version of the form by clicking the link below or browse more documents and templates provided by the New York State Department of Environmental Conservation.

Download Bluestone Exploration Authorization Application - New York

4.3 of 5 (38 votes)
  • Bluestone Exploration Authorization Application - New York

    1

  • Bluestone Exploration Authorization Application - New York, Page 2

    2

  • Bluestone Exploration Authorization Application - New York, Page 3

    3

  • Bluestone Exploration Authorization Application - New York, Page 4

    4

  • Bluestone Exploration Authorization Application - New York, Page 1
  • Bluestone Exploration Authorization Application - New York, Page 2
  • Bluestone Exploration Authorization Application - New York, Page 3
  • Bluestone Exploration Authorization Application - New York, Page 4
Prev 1 2 3 4 Next
ADVERTISEMENT

Related Documents