Form SFN51795 External Complaints of Discrimination - North Dakota

Notification Icon This version of the form is not currently in use and is provided for reference only. Download this version of Form SFN51795 for the current year.

Form SFN51795 External Complaints of Discrimination - North Dakota

What Is Form SFN51795?

This is a legal form that was released by the North Dakota Department of Transportation - a government authority operating within North Dakota. As of today, no separate filing guidelines for the form are provided by the issuing department.

FAQ

Q: What is Form SFN51795?
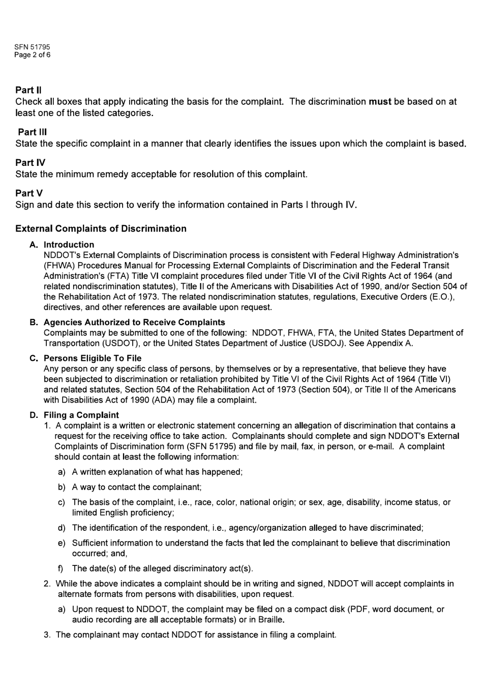
A: Form SFN51795 is a document used for filing external complaints of discrimination in North Dakota.

Q: Who can file an external complaint of discrimination using Form SFN51795?
A: Any individual who believes they have been discriminated against in North Dakota can file an external complaint using Form SFN51795.

Q: What is the purpose of Form SFN51795?
A: The purpose of Form SFN51795 is to provide a formal mechanism for individuals to report incidents of discrimination in North Dakota.

Q: What information is required on Form SFN51795?
A: Form SFN51795 requires the complainant's personal information, details of the alleged discrimination, and any supporting documentation.

Q: What should I do after completing Form SFN51795?
A: After completing Form SFN51795, you should submit it to the North Dakota Department of Labor and Human Rights as instructed on the form.

Q: Is there a deadline for filing an external complaint of discrimination using Form SFN51795?
A: Yes, there is a deadline for filing an external complaint of discrimination. It is important to consult the form or the North Dakota Department of Labor and Human Rights for the specific deadline.

Q: What happens after I file an external complaint using Form SFN51795?
A: After you file an external complaint using Form SFN51795, the North Dakota Department of Labor and Human Rights will review your complaint and conduct an investigation if warranted.

Q: Can I get legal representation for my external complaint of discrimination?
A: Yes, you have the right to obtain legal representation for your external complaint of discrimination.

Q: Are there any fees associated with filing an external complaint of discrimination using Form SFN51795?
A: There are no fees associated with filing an external complaint of discrimination using Form SFN51795.

ADVERTISEMENT

Form Details:

  • Released on October 31, 2018;
  • The latest edition provided by the North Dakota Department of Transportation;
  • Easy to use and ready to print;
  • Quick to customize;
  • Compatible with most PDF-viewing applications;
  • Fill out the form in our online filing application.

Download a fillable version of Form SFN51795 by clicking the link below or browse more documents and templates provided by the North Dakota Department of Transportation.

Download Form SFN51795 External Complaints of Discrimination - North Dakota

4.8 of 5 (79 votes)
  • Form SFN51795 External Complaints of Discrimination - North Dakota

    1

  • Form SFN51795 External Complaints of Discrimination - North Dakota, Page 2

    2

  • Form SFN51795 External Complaints of Discrimination - North Dakota, Page 3

    3

  • Form SFN51795 External Complaints of Discrimination - North Dakota, Page 4

    4

  • Form SFN51795 External Complaints of Discrimination - North Dakota, Page 5

    5

  • Form SFN51795 External Complaints of Discrimination - North Dakota, Page 6

    6

  • Form SFN51795 External Complaints of Discrimination - North Dakota, Page 1
  • Form SFN51795 External Complaints of Discrimination - North Dakota, Page 2
  • Form SFN51795 External Complaints of Discrimination - North Dakota, Page 3
  • Form SFN51795 External Complaints of Discrimination - North Dakota, Page 4
  • Form SFN51795 External Complaints of Discrimination - North Dakota, Page 5
  • Form SFN51795 External Complaints of Discrimination - North Dakota, Page 6
Prev 1 2 3 4 5 6 Next
ADVERTISEMENT