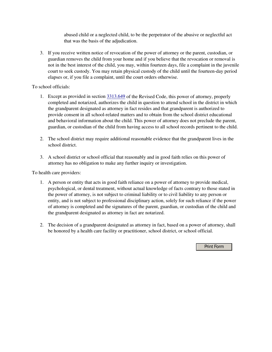
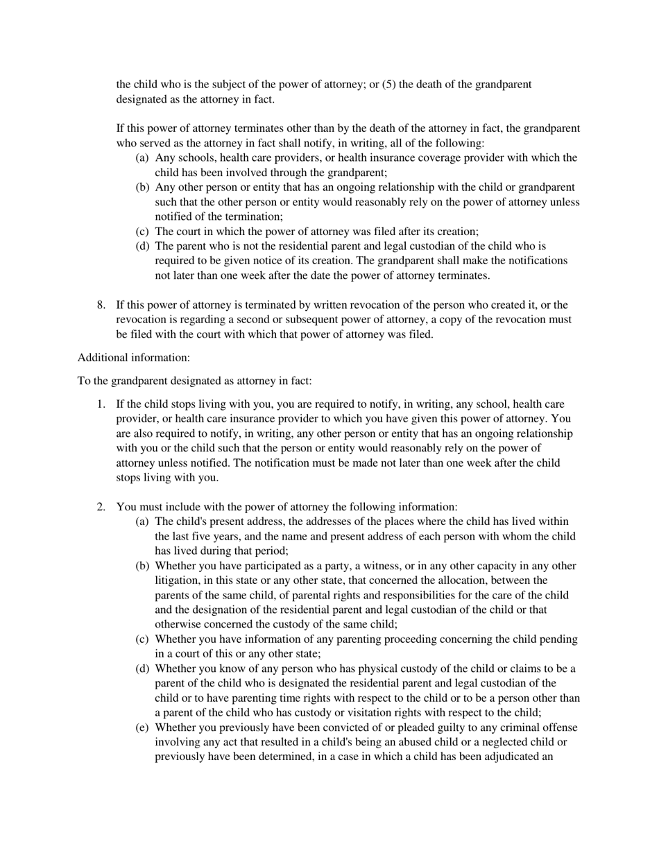
Power of Attorney - Ohio

Power of Attorney - Ohio

Power of Attorney is a legal document that was released by the Ohio Judicial System - a government authority operating within Ohio.

FAQ

Q: What is a Power of Attorney?
A: A Power of Attorney is a legal document that gives someone else the authority to act on your behalf in legal and financial matters.

Q: Can I create a Power of Attorney in Ohio?
A: Yes, you can create a Power of Attorney in Ohio.

Q: Do I need a lawyer to create a Power of Attorney in Ohio?
A: While it's not required to have a lawyer, it's recommended to seek legal advice when creating a Power of Attorney to ensure it meets all legal requirements.

Q: What types of Power of Attorney are available in Ohio?
A: Ohio recognizes different types of Power of Attorney, including General Power of Attorney, Limited Power of Attorney, and Durable Power of Attorney.

Q: What is a General Power of Attorney?
A: A General Power of Attorney gives the appointed person broad powers to handle your legal and financial matters.

Q: What is a Limited Power of Attorney?
A: A Limited Power of Attorney gives the appointed person specific powers for a particular task or period of time.

Q: What is a Durable Power of Attorney?
A: A Durable Power of Attorney remains in effect even if you become mentally or physically unable to handle your affairs.

Q: How do I create a Power of Attorney in Ohio?
A: To create a Power of Attorney in Ohio, you need to complete a power of attorney form, sign it in front of a notary public, and have it witnessed by two adults.

Q: Can I revoke a Power of Attorney in Ohio?
A: Yes, you can revoke a Power of Attorney in Ohio at any time, as long as you are mentally competent to do so.

Q: Do I need to register a Power of Attorney in Ohio?
A: It is not required to register a Power of Attorney in Ohio, but it's advisable to keep a record of it and provide copies to relevant parties when needed.

ADVERTISEMENT

Form Details:

  • The latest edition currently provided by the Ohio Judicial System;
  • Ready to use and print;
  • Easy to customize;
  • Compatible with most PDF-viewing applications;
  • Fill out the form in our online filing application.

Download a fillable version of the form by clicking the link below or browse more documents and templates provided by the Ohio Judicial System.

Download Power of Attorney - Ohio

4.7 of 5 (12 votes)
  • Power of Attorney - Ohio

    1

  • Power of Attorney - Ohio, Page 2

    2

  • Power of Attorney - Ohio, Page 3

    3

  • Power of Attorney - Ohio, Page 4

    4

  • Power of Attorney - Ohio, Page 5

    5

  • Power of Attorney - Ohio, Page 1
  • Power of Attorney - Ohio, Page 2
  • Power of Attorney - Ohio, Page 3
  • Power of Attorney - Ohio, Page 4
  • Power of Attorney - Ohio, Page 5
Prev 1 2 3 4 5 Next
ADVERTISEMENT

Related Documents