Form PTO / SB / 82CN Power of Attorney or Revocation of Power of Attorney With a New Power of Attorney and Change of Correspondence Address (English / Chinese)

Form PTO / SB / 82CN Power of Attorney or Revocation of Power of Attorney With a New Power of Attorney and Change of Correspondence Address (English / Chinese)

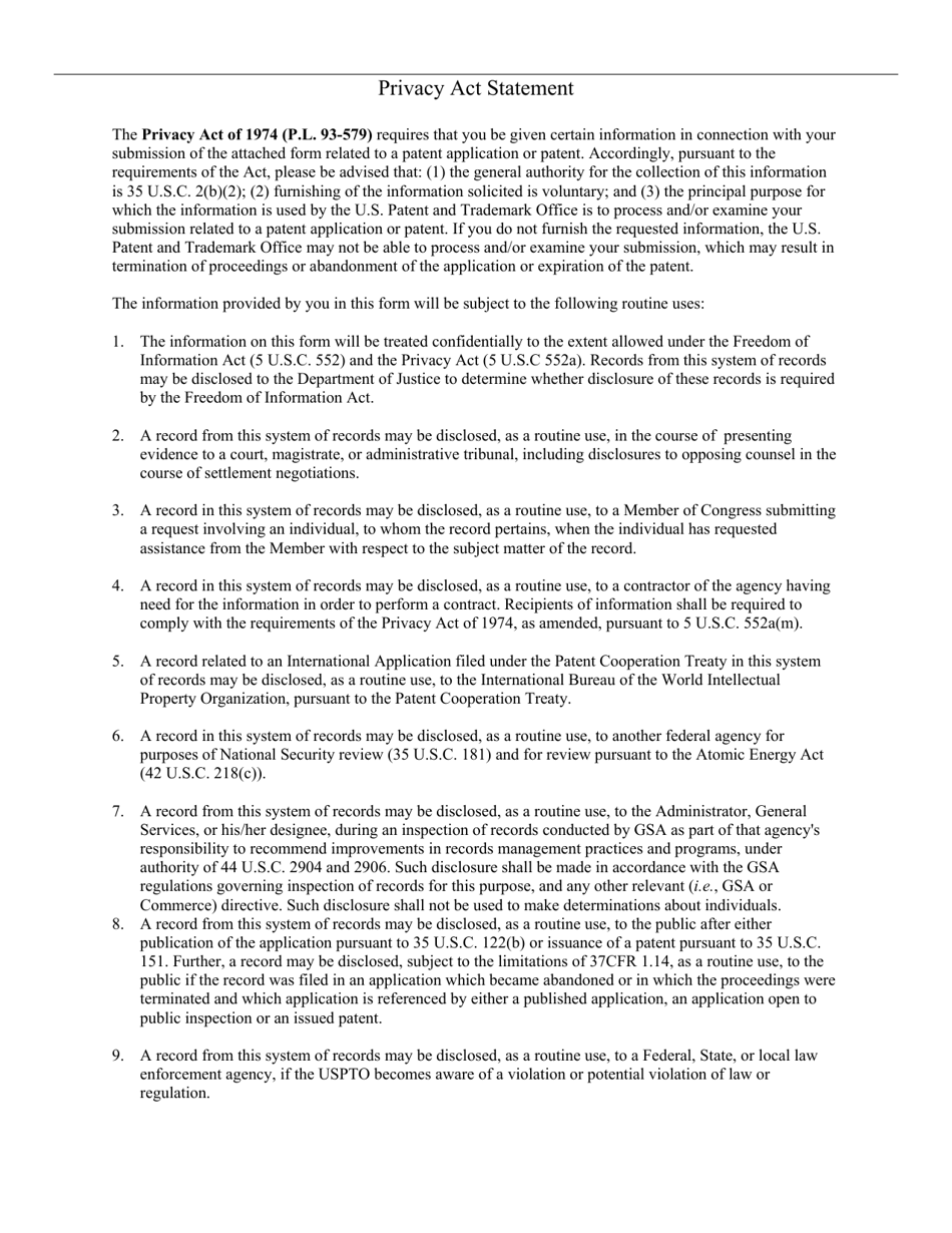
What Is Form PTO/SB/82CN?

This is a legal form that was released by the U.S. Department of Commerce - Patent and Trademark Office on July 1, 2009 and used country-wide. As of today, no separate filing guidelines for the form are provided by the issuing department.

FAQ

Q: What is Form PTO/SB/82CN?
A: Form PTO/SB/82CN is a form used for Power of Attorney or Revocation of Power of Attorney with a New Power of Attorney and Change of Correspondence Address.

Q: What is the purpose of Form PTO/SB/82CN?
A: The purpose of Form PTO/SB/82CN is to grant or revoke power of attorney and provide a new power of attorney along with a change in correspondence address.

Q: Is Form PTO/SB/82CN available in both English and Chinese?
A: Yes, Form PTO/SB/82CN is available in both English and Chinese.

Q: What information is required in Form PTO/SB/82CN?
A: Form PTO/SB/82CN requires information related to power of attorney, revocation of power of attorney, new power of attorney, and change of correspondence address.

ADVERTISEMENT

Form Details:

  • Released on July 1, 2009;
  • The latest available edition released by the U.S. Department of Commerce - Patent and Trademark Office;
  • Easy to use and ready to print;
  • Yours to fill out and keep for your records;
  • Compatible with most PDF-viewing applications;
  • Fill out the form in our online filing application.

Download a fillable version of Form PTO/SB/82CN by clicking the link below or browse more documents and templates provided by the U.S. Department of Commerce - Patent and Trademark Office.

Download Form PTO / SB / 82CN Power of Attorney or Revocation of Power of Attorney With a New Power of Attorney and Change of Correspondence Address (English / Chinese)

4.5 of 5 (21 votes)
  • Form PTO/SB/82CN Power of Attorney or Revocation of Power of Attorney With a New Power of Attorney and Change of Correspondence Address (English/Chinese)

    1

  • Form PTO/SB/82CN Power of Attorney or Revocation of Power of Attorney With a New Power of Attorney and Change of Correspondence Address (English/Chinese), Page 2

    2

  • Form PTO/SB/82CN Power of Attorney or Revocation of Power of Attorney With a New Power of Attorney and Change of Correspondence Address (English/Chinese), Page 3

    3

  • Form PTO/SB/82CN Power of Attorney or Revocation of Power of Attorney With a New Power of Attorney and Change of Correspondence Address (English/Chinese), Page 4

    4

  • Form PTO / SB / 82CN Power of Attorney or Revocation of Power of Attorney With a New Power of Attorney and Change of Correspondence Address (English / Chinese), Page 1
  • Form PTO / SB / 82CN Power of Attorney or Revocation of Power of Attorney With a New Power of Attorney and Change of Correspondence Address (English / Chinese), Page 2
  • Form PTO / SB / 82CN Power of Attorney or Revocation of Power of Attorney With a New Power of Attorney and Change of Correspondence Address (English / Chinese), Page 3
  • Form PTO / SB / 82CN Power of Attorney or Revocation of Power of Attorney With a New Power of Attorney and Change of Correspondence Address (English / Chinese), Page 4
Prev 1 2 3 4 Next
ADVERTISEMENT

Related Documents