Form FIN602 Application for Individual Adjuster License - Texas

Notification Icon This version of the form is not currently in use and is provided for reference only. Download this version of Form FIN602 for the current year.

Form FIN602 Application for Individual Adjuster License - Texas

What Is Form FIN602?

This is a legal form that was released by the Texas Department of Insurance - a government authority operating within Texas. As of today, no separate filing guidelines for the form are provided by the issuing department.

FAQ

Q: What is FIN602?
A: FIN602 is the form used to apply for an individual adjuster license in Texas.

Q: Who needs to fill out FIN602?
A: Anyone seeking to obtain an individual adjuster license in Texas needs to fill out FIN602.

Q: What is the purpose of FIN602?
A: The purpose of FIN602 is to gather the necessary information to assess an individual's eligibility for an adjuster license.

Q: What information is required on FIN602?
A: FIN602 requires personal information, contact details, employment history, and information about any criminal convictions.

Q: How long does it take to process FIN602?
A: The processing time for FIN602 can vary, but it typically takes a few weeks.

Q: Is there an exam requirement for an adjuster license in Texas?
A: Yes, in addition to submitting FIN602, individuals must pass the Texas Adjuster Licensing Exam.

ADVERTISEMENT

Form Details:

  • Released on October 1, 2018;
  • The latest edition provided by the Texas Department of Insurance;
  • Easy to use and ready to print;
  • Quick to customize;
  • Compatible with most PDF-viewing applications;
  • Fill out the form in our online filing application.

Download a fillable version of Form FIN602 by clicking the link below or browse more documents and templates provided by the Texas Department of Insurance.

Download Form FIN602 Application for Individual Adjuster License - Texas

4.6 of 5 (63 votes)
  • Form FIN602 Application for Individual Adjuster License - Texas

    1

  • Form FIN602 Application for Individual Adjuster License - Texas, Page 2

    2

  • Form FIN602 Application for Individual Adjuster License - Texas, Page 3

    3

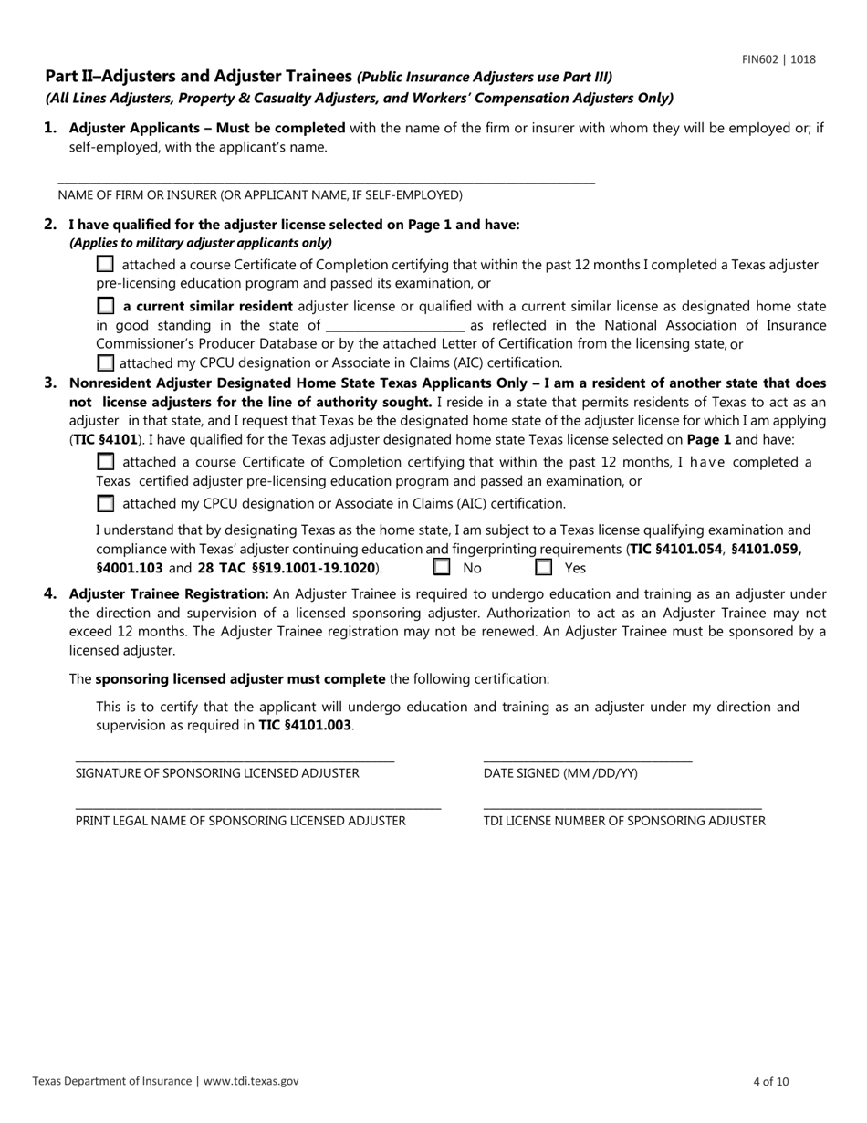
  • Form FIN602 Application for Individual Adjuster License - Texas, Page 4

    4

  • Form FIN602 Application for Individual Adjuster License - Texas, Page 5

    5

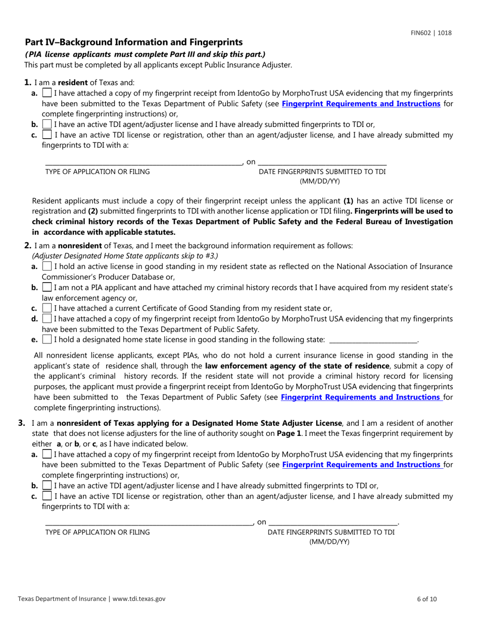
  • Form FIN602 Application for Individual Adjuster License - Texas, Page 6

    6

  • Form FIN602 Application for Individual Adjuster License - Texas, Page 7

    7

  • Form FIN602 Application for Individual Adjuster License - Texas, Page 8

    8

  • Form FIN602 Application for Individual Adjuster License - Texas, Page 9

    9

  • Form FIN602 Application for Individual Adjuster License - Texas, Page 10

    10

  • Form FIN602 Application for Individual Adjuster License - Texas, Page 1
  • Form FIN602 Application for Individual Adjuster License - Texas, Page 2
  • Form FIN602 Application for Individual Adjuster License - Texas, Page 3
  • Form FIN602 Application for Individual Adjuster License - Texas, Page 4
  • Form FIN602 Application for Individual Adjuster License - Texas, Page 5
  • Form FIN602 Application for Individual Adjuster License - Texas, Page 6
  • Form FIN602 Application for Individual Adjuster License - Texas, Page 7
  • Form FIN602 Application for Individual Adjuster License - Texas, Page 8
  • Form FIN602 Application for Individual Adjuster License - Texas, Page 9
  • Form FIN602 Application for Individual Adjuster License - Texas, Page 10
Prev 1 2 3 4 5 ... 10 Next
ADVERTISEMENT

Related Documents