Form 811 Certificate of Reinstatement - Texas

Notification Icon This version of the form is not currently in use and is provided for reference only. Download this version of Form 811 for the current year.

Form 811 Certificate of Reinstatement - Texas

What Is Form 811?

This is a legal form that was released by the Texas Secretary of State - a government authority operating within Texas. As of today, no separate filing guidelines for the form are provided by the issuing department.

FAQ

Q: What is Form 811 Certificate of Reinstatement?
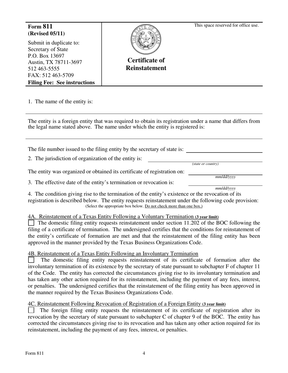
A: Form 811 Certificate of Reinstatement is a document used in Texas to reinstate a corporation or limited liability company (LLC) that has been forfeited or involuntarily terminated by the Secretary of State.

Q: When is Form 811 Certificate of Reinstatement used?
A: Form 811 Certificate of Reinstatement is used when a corporation or LLC wants to regain its status as an active entity after being forfeited or involuntarily terminated.

Q: What information is required on Form 811 Certificate of Reinstatement?
A: Form 811 Certificate of Reinstatement requires information such as the name of the corporation or LLC, the entity's file number, the reason for the forfeiture or termination, and a statement of compliance with state laws.

Q: Is there a fee for filing Form 811 Certificate of Reinstatement?
A: Yes, there is a fee for filing Form 811 Certificate of Reinstatement. The fee amount may vary and should be checked with the Secretary of State's office.

Q: What is the deadline to file Form 811 Certificate of Reinstatement?
A: There is no specific deadline mentioned for filing Form 811 Certificate of Reinstatement. However, it is recommended to file as soon as possible after the forfeiture or termination.

Q: What is the processing time for Form 811 Certificate of Reinstatement?
A: The processing time for Form 811 Certificate of Reinstatement may vary. It is advisable to check with the Secretary of State's office for the current processing time.

ADVERTISEMENT

Form Details:

  • Released on May 1, 2011;
  • The latest edition provided by the Texas Secretary of State;
  • Easy to use and ready to print;
  • Quick to customize;
  • Compatible with most PDF-viewing applications;
  • Fill out the form in our online filing application.

Download a fillable version of Form 811 by clicking the link below or browse more documents and templates provided by the Texas Secretary of State.

Download Form 811 Certificate of Reinstatement - Texas

4.6 of 5 (41 votes)
  • Form 811 Certificate of Reinstatement - Texas

    1

  • Form 811 Certificate of Reinstatement - Texas, Page 2

    2

  • Form 811 Certificate of Reinstatement - Texas, Page 3

    3

  • Form 811 Certificate of Reinstatement - Texas, Page 4

    4

  • Form 811 Certificate of Reinstatement - Texas, Page 5

    5

  • Form 811 Certificate of Reinstatement - Texas, Page 1
  • Form 811 Certificate of Reinstatement - Texas, Page 2
  • Form 811 Certificate of Reinstatement - Texas, Page 3
  • Form 811 Certificate of Reinstatement - Texas, Page 4
  • Form 811 Certificate of Reinstatement - Texas, Page 5
Prev 1 2 3 4 5 Next
ADVERTISEMENT