Form DSCB:15-1341 / 5341 Statement of Revival Domestic Corporation - Pennsylvania

Form DSCB:15-1341 / 5341 Statement of Revival Domestic Corporation - Pennsylvania

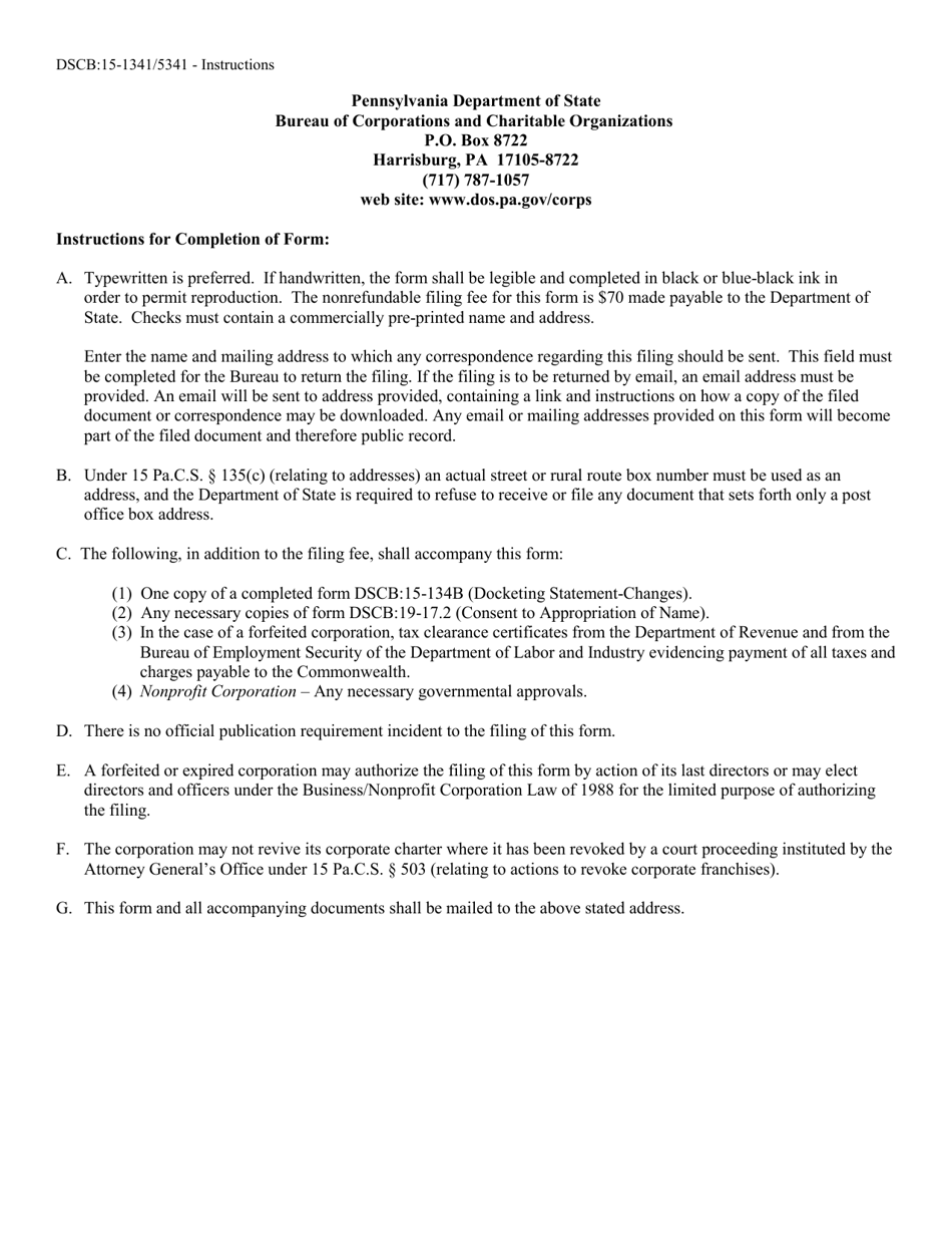
What Is Form DSCB:15-1341/5341?

This is a legal form that was released by the Pennsylvania Department of State - a government authority operating within Pennsylvania. As of today, no separate filing guidelines for the form are provided by the issuing department.

FAQ

Q: What is Form DSCB:15-1341/5341?
A: Form DSCB:15-1341/5341 is the Statement of Revival for a Domestic Corporation in Pennsylvania.

Q: What is a Domestic Corporation?
A: A Domestic Corporation is a company that is incorporated in, and operates within, the state in which it was formed.

Q: What is a Statement of Revival?
A: A Statement of Revival is a legal document that is filed to reinstate a corporation that has been administratively dissolved or revoked.

Q: Why would a corporation be administratively dissolved or revoked?
A: A corporation may be administratively dissolved or revoked if it fails to comply with certain state requirements, such as filing annual reports or paying taxes.

Q: How do I use Form DSCB:15-1341/5341?
A: You would use Form DSCB:15-1341/5341 to apply for the reinstatement of a domestic corporation in Pennsylvania.

Q: What are the consequences of not filing a Statement of Revival?
A: If a corporation does not file a Statement of Revival, it may lose its ability to do business in Pennsylvania and may face additional penalties or legal consequences.

Q: Can I file a Statement of Revival for a foreign corporation using Form DSCB:15-1341/5341?
A: No, Form DSCB:15-1341/5341 is specifically for domestic corporations. Foreign corporations have different requirements for reinstatement.

ADVERTISEMENT

Form Details:

  • Released on July 1, 2015;
  • The latest edition provided by the Pennsylvania Department of State;
  • Easy to use and ready to print;
  • Quick to customize;
  • Compatible with most PDF-viewing applications;
  • Fill out the form in our online filing application.

Download a fillable version of Form DSCB:15-1341/5341 by clicking the link below or browse more documents and templates provided by the Pennsylvania Department of State.

Download Form DSCB:15-1341 / 5341 Statement of Revival Domestic Corporation - Pennsylvania

4.8 of 5 (41 votes)
  • Form DSCB:15-1341/5341 Statement of Revival Domestic Corporation - Pennsylvania

    1

  • Form DSCB:15-1341/5341 Statement of Revival Domestic Corporation - Pennsylvania, Page 2

    2

  • Form DSCB:15-1341/5341 Statement of Revival Domestic Corporation - Pennsylvania, Page 3

    3

  • Form DSCB:15-1341 / 5341 Statement of Revival Domestic Corporation - Pennsylvania, Page 1
  • Form DSCB:15-1341 / 5341 Statement of Revival Domestic Corporation - Pennsylvania, Page 2
  • Form DSCB:15-1341 / 5341 Statement of Revival Domestic Corporation - Pennsylvania, Page 3
Prev 1 2 3 Next
ADVERTISEMENT

Related Documents