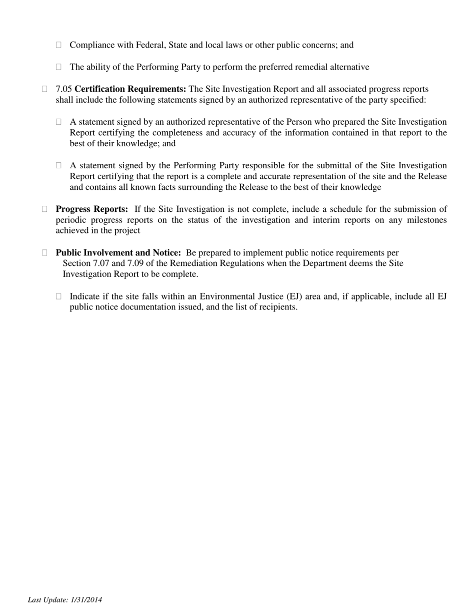
Site Investigation Report (Sir) Checklist - Rhode Island

Notification Icon This version of the form is not currently in use and is provided for reference only. Download this version of the document for the current year.

Site Investigation Report (Sir) Checklist - Rhode Island

What Is Appendix I?

This is a legal form that was released by the Rhode Island Department of Environmental Management - a government authority operating within Rhode Island. As of today, no separate filing guidelines for the form are provided by the issuing department.

FAQ

Q: What is the purpose of a Site Investigation Report (SIR)?
A: The purpose of a SIR is to provide a detailed summary of the findings from a site investigation.

Q: What does the SIR Checklist include?
A: The SIR Checklist includes a list of items that should be addressed in a Site Investigation Report.

Q: What is the importance of completing a SIR Checklist?
A: Completing a SIR Checklist ensures that all necessary elements are included in the Site Investigation Report.

Q: Who should use the SIR Checklist?
A: The SIR Checklist should be used by individuals or organizations conducting site investigations in Rhode Island.

ADVERTISEMENT

Form Details:

  • Released on January 31, 2014;
  • The latest edition provided by the Rhode Island Department of Environmental Management;
  • Easy to use and ready to print;
  • Quick to customize;
  • Compatible with most PDF-viewing applications;
  • Fill out the form in our online filing application.

Download a printable version of Appendix I by clicking the link below or browse more documents and templates provided by the Rhode Island Department of Environmental Management.

Download Site Investigation Report (Sir) Checklist - Rhode Island

4.6 of 5 (46 votes)
  • Site Investigation Report (Sir) Checklist - Rhode Island

    1

  • Site Investigation Report (Sir) Checklist - Rhode Island, Page 2

    2

  • Site Investigation Report (Sir) Checklist - Rhode Island, Page 3

    3

  • Site Investigation Report (Sir) Checklist - Rhode Island, Page 4

    4

  • Site Investigation Report (Sir) Checklist - Rhode Island, Page 5

    5

  • Site Investigation Report (Sir) Checklist - Rhode Island, Page 1
  • Site Investigation Report (Sir) Checklist - Rhode Island, Page 2
  • Site Investigation Report (Sir) Checklist - Rhode Island, Page 3
  • Site Investigation Report (Sir) Checklist - Rhode Island, Page 4
  • Site Investigation Report (Sir) Checklist - Rhode Island, Page 5
Prev 1 2 3 4 5 Next
ADVERTISEMENT

Related Documents