Possession Permit Application for an Exotic Wild Animal - Rhode Island

Notification Icon This version of the form is not currently in use and is provided for reference only. Download this version of the document for the current year.

Possession Permit Application for an Exotic Wild Animal - Rhode Island

Possession Permit Application for an Exotic Wild Animal is a legal document that was released by the Rhode Island Department of Environmental Management - a government authority operating within Rhode Island.

FAQ

Q: Who needs a possession permit for an exotic wild animal in Rhode Island?
A: Anyone who wishes to own an exotic wild animal in Rhode Island needs a possession permit.

Q: What is considered an exotic wild animal in Rhode Island?
A: An exotic wild animal is any animal that is not native to the United States or Canada.

Q: How do I apply for a possession permit for an exotic wild animal in Rhode Island?
A: To apply for a possession permit, you must complete the application form and submit it to the Rhode Island Department of Environmental Management.

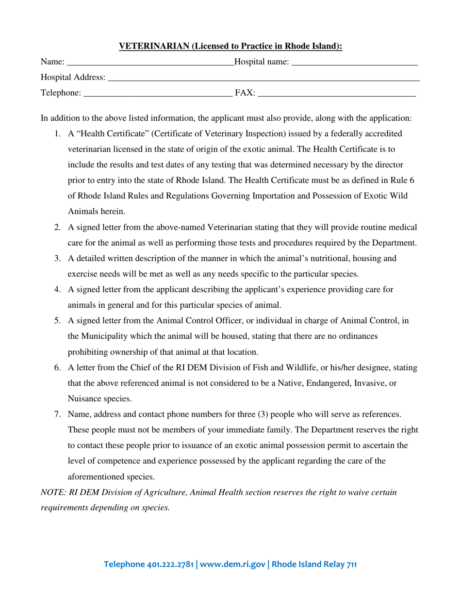
Q: What are the requirements to obtain a possession permit for an exotic wild animal in Rhode Island?
A: The requirements for a possession permit include providing proof of legal acquisition of the animal, providing documentation of proper caging and care for the animal, and paying a fee.

Q: Are there any restrictions on owning an exotic wild animal in Rhode Island?
A: Yes, there are restrictions on owning an exotic wild animal, including specific requirements for caging, care, and containment of the animal.

Q: Can anyone own an exotic wild animal in Rhode Island?
A: No, not everyone can own an exotic wild animal in Rhode Island. Ownership is regulated and requires a possession permit.

Q: What happens if I don't have a possession permit for an exotic wild animal in Rhode Island?
A: If you don't have a possession permit for an exotic wild animal, you may be subject to fines, penalties, and seizure of the animal.

Q: How long does it take to process a possession permit application for an exotic wild animal in Rhode Island?
A: The processing time for a possession permit application varies, but it can take several weeks.

Q: Can I transfer ownership of an exotic wild animal in Rhode Island?
A: Yes, ownership of an exotic wild animal can be transferred in Rhode Island, but the new owner must also hold a possession permit.

Q: Can I use an exotic wild animal for commercial purposes in Rhode Island?
A: Using an exotic wild animal for commercial purposes may require additional permits or licenses in Rhode Island. It is best to consult with the appropriate authorities for specific regulations.

ADVERTISEMENT

Form Details:

  • Released on January 1, 2017;
  • The latest edition currently provided by the Rhode Island Department of Environmental Management;
  • Ready to use and print;
  • Easy to customize;
  • Compatible with most PDF-viewing applications;
  • Fill out the form in our online filing application.

Download a fillable version of the form by clicking the link below or browse more documents and templates provided by the Rhode Island Department of Environmental Management.

Download Possession Permit Application for an Exotic Wild Animal - Rhode Island

4.5 of 5 (84 votes)
  • Possession Permit Application for an Exotic Wild Animal - Rhode Island

    1

  • Possession Permit Application for an Exotic Wild Animal - Rhode Island, Page 2

    2

  • Possession Permit Application for an Exotic Wild Animal - Rhode Island, Page 3

    3

  • Possession Permit Application for an Exotic Wild Animal - Rhode Island, Page 1
  • Possession Permit Application for an Exotic Wild Animal - Rhode Island, Page 2
  • Possession Permit Application for an Exotic Wild Animal - Rhode Island, Page 3
Prev 1 2 3 Next
ADVERTISEMENT

Related Documents