Application for Pharmacy - Retail License and Controlled Substances Registration - Rhode Island

Application for Pharmacy - Retail License and Controlled Substances Registration - Rhode Island

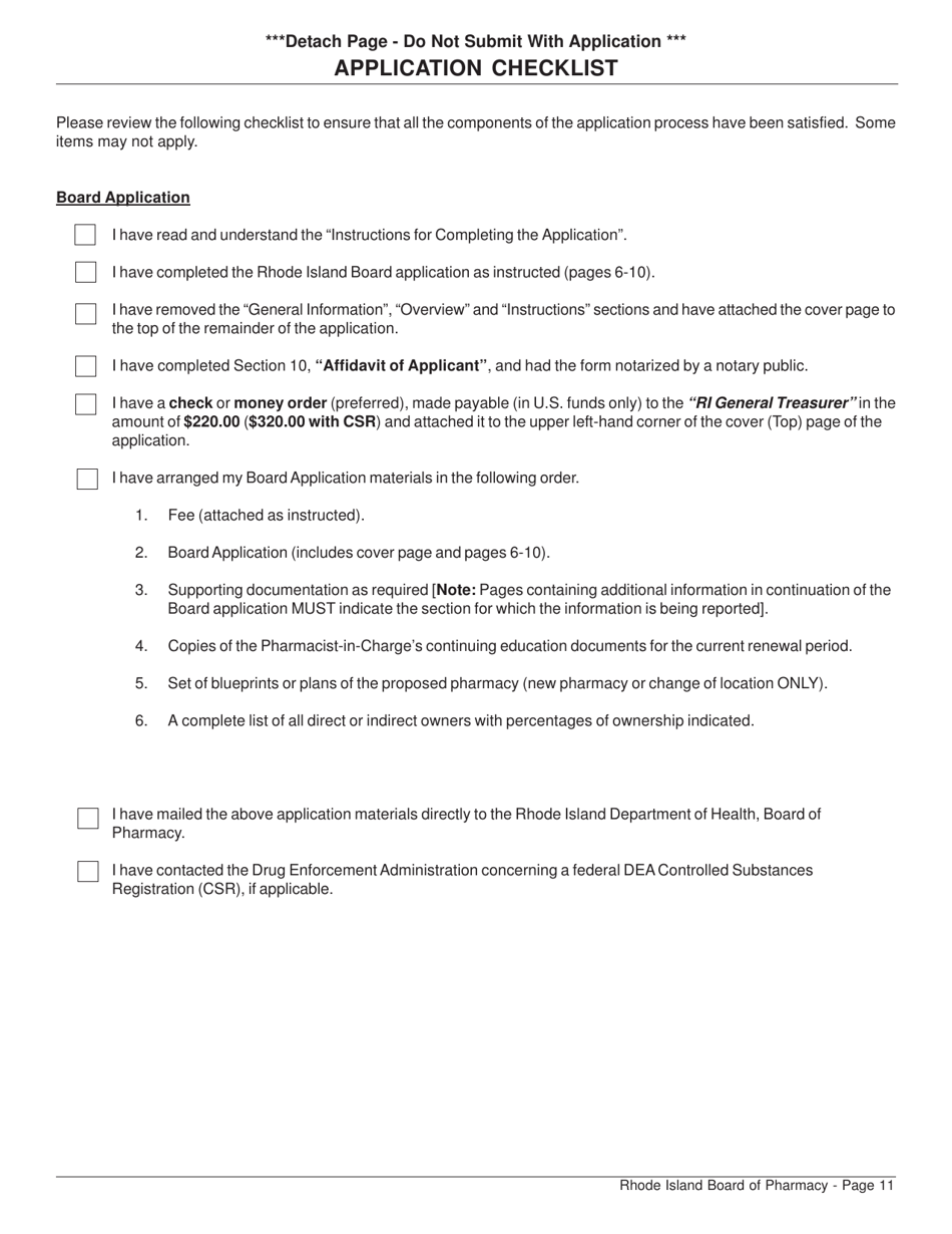
Application for Pharmacy - Controlled Substances Registration is a legal document that was released by the Rhode Island Department of Health - a government authority operating within Rhode Island.

FAQ

Q: What is the process for applying for a pharmacy retail license in Rhode Island?
A: The process for applying for a pharmacy retail license in Rhode Island involves completing an application form, submitting required documents, and paying the necessary fees.

Q: What documents are required for applying for a pharmacy retail license in Rhode Island?
A: The required documents for applying for a pharmacy retail license in Rhode Island may include proof of ownership or lease agreement, a Certificate of Occupancy, proof of liability insurance, and a valid pharmacist license.

Q: Is a controlled substances registration required for a pharmacy retail license in Rhode Island?
A: Yes, a controlled substances registration is required for a pharmacy retail license in Rhode Island.

Q: How do I apply for a controlled substances registration in Rhode Island?
A: To apply for a controlled substances registration in Rhode Island, you must complete an application form, provide required documentation, and pay the applicable fees.

Q: Can a pharmacy retail license and controlled substances registration be renewed in Rhode Island?
A: Yes, both the pharmacy retail license and controlled substances registration can be renewed in Rhode Island by submitting a renewal application, required documents, and paying the renewal fees.

ADVERTISEMENT

Form Details:

  • The latest edition currently provided by the Rhode Island Department of Health;
  • Ready to use and print;
  • Easy to customize;
  • Compatible with most PDF-viewing applications;
  • Fill out the form in our online filing application.

Download a printable version of the form by clicking the link below or browse more documents and templates provided by the Rhode Island Department of Health.

Download Application for Pharmacy - Retail License and Controlled Substances Registration - Rhode Island

4.7 of 5 (58 votes)
  • Application for Pharmacy - Retail License and Controlled Substances Registration - Rhode Island

    1

  • Application for Pharmacy - Retail License and Controlled Substances Registration - Rhode Island, Page 2

    2

  • Application for Pharmacy - Retail License and Controlled Substances Registration - Rhode Island, Page 3

    3

  • Application for Pharmacy - Retail License and Controlled Substances Registration - Rhode Island, Page 4

    4

  • Application for Pharmacy - Retail License and Controlled Substances Registration - Rhode Island, Page 5

    5

  • Application for Pharmacy - Retail License and Controlled Substances Registration - Rhode Island, Page 6

    6

  • Application for Pharmacy - Retail License and Controlled Substances Registration - Rhode Island, Page 7

    7

  • Application for Pharmacy - Retail License and Controlled Substances Registration - Rhode Island, Page 8

    8

  • Application for Pharmacy - Retail License and Controlled Substances Registration - Rhode Island, Page 9

    9

  • Application for Pharmacy - Retail License and Controlled Substances Registration - Rhode Island, Page 10

    10

  • Application for Pharmacy - Retail License and Controlled Substances Registration - Rhode Island, Page 11

    11

  • Application for Pharmacy - Retail License and Controlled Substances Registration - Rhode Island, Page 12

    12

  • Application for Pharmacy - Retail License and Controlled Substances Registration - Rhode Island, Page 13

    13

  • Application for Pharmacy - Retail License and Controlled Substances Registration - Rhode Island, Page 1
  • Application for Pharmacy - Retail License and Controlled Substances Registration - Rhode Island, Page 2
  • Application for Pharmacy - Retail License and Controlled Substances Registration - Rhode Island, Page 3
  • Application for Pharmacy - Retail License and Controlled Substances Registration - Rhode Island, Page 4
  • Application for Pharmacy - Retail License and Controlled Substances Registration - Rhode Island, Page 5
  • Application for Pharmacy - Retail License and Controlled Substances Registration - Rhode Island, Page 6
  • Application for Pharmacy - Retail License and Controlled Substances Registration - Rhode Island, Page 7
  • Application for Pharmacy - Retail License and Controlled Substances Registration - Rhode Island, Page 8
  • Application for Pharmacy - Retail License and Controlled Substances Registration - Rhode Island, Page 9
  • Application for Pharmacy - Retail License and Controlled Substances Registration - Rhode Island, Page 10
  • Application for Pharmacy - Retail License and Controlled Substances Registration - Rhode Island, Page 11
  • Application for Pharmacy - Retail License and Controlled Substances Registration - Rhode Island, Page 12
  • Application for Pharmacy - Retail License and Controlled Substances Registration - Rhode Island, Page 13
Prev 1 2 3 4 5 ... 13 Next
ADVERTISEMENT

Related Documents