DHEC Form 3898 Permit Application Packet for Activities in the South Carolina Critical Area - South Carolina

DHEC Form 3898 Permit Application Packet for Activities in the South Carolina Critical Area - South Carolina

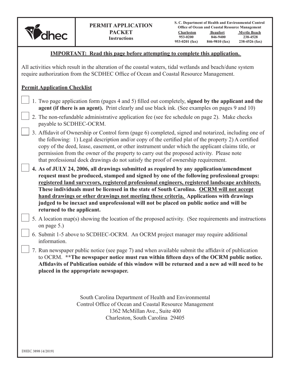
What Is DHEC Form 3898?

This is a legal form that was released by the South Carolina Department of Health and Environmental Control - a government authority operating within South Carolina. As of today, no separate filing guidelines for the form are provided by the issuing department.

FAQ

Q: What is DHEC Form 3898?
A: DHEC Form 3898 is a permit application packet for activities in the South Carolina Critical Area.

Q: What is the South Carolina Critical Area?
A: The South Carolina Critical Area refers to specific coastal areas that are deemed environmentally sensitive.

Q: What activities require a permit in the South Carolina Critical Area?
A: Activities such as construction, dredging, and filling in the South Carolina Critical Area require a permit.

Q: What should I include in the DHEC Form 3898 Permit Application Packet?
A: The DHEC Form 3898 Permit Application Packet should include information about the proposed activity, site plans, and any necessary supporting documentation.

Q: Is there a fee associated with the permit application?
A: Yes, there is a fee associated with the permit application. The exact fee amount can be found in the application packet.

Q: Are there any specific regulations or guidelines for activities in the South Carolina Critical Area?
A: Yes, there are specific regulations and guidelines that must be followed for activities in the South Carolina Critical Area. These can be found in the application packet or by contacting DHEC.

Q: What happens after I submit the DHEC Form 3898 Permit Application Packet?
A: After you submit the DHEC Form 3898 Permit Application Packet, it will be reviewed by DHEC staff to determine if it meets the requirements.

Q: How long does it typically take to receive a decision on the permit application?
A: The time it takes to receive a decision on the permit application can vary, but it is typically within a few weeks to months depending on the complexity of the proposed activity.

Q: What should I do if my permit application is denied?
A: If your permit application is denied, you can appeal the decision or work with DHEC staff to address any concerns and reapply.

ADVERTISEMENT

Form Details:

  • Released on April 1, 2019;
  • The latest edition provided by the South Carolina Department of Health and Environmental Control;
  • Easy to use and ready to print;
  • Quick to customize;
  • Compatible with most PDF-viewing applications;
  • Fill out the form in our online filing application.

Download a fillable version of DHEC Form 3898 by clicking the link below or browse more documents and templates provided by the South Carolina Department of Health and Environmental Control.

Download DHEC Form 3898 Permit Application Packet for Activities in the South Carolina Critical Area - South Carolina

4.6 of 5 (56 votes)
  • DHEC Form 3898 Permit Application Packet for Activities in the South Carolina Critical Area - South Carolina

    1

  • DHEC Form 3898 Permit Application Packet for Activities in the South Carolina Critical Area - South Carolina, Page 2

    2

  • DHEC Form 3898 Permit Application Packet for Activities in the South Carolina Critical Area - South Carolina, Page 3

    3

  • DHEC Form 3898 Permit Application Packet for Activities in the South Carolina Critical Area - South Carolina, Page 4

    4

  • DHEC Form 3898 Permit Application Packet for Activities in the South Carolina Critical Area - South Carolina, Page 5

    5

  • DHEC Form 3898 Permit Application Packet for Activities in the South Carolina Critical Area - South Carolina, Page 6

    6

  • DHEC Form 3898 Permit Application Packet for Activities in the South Carolina Critical Area - South Carolina, Page 7

    7

  • DHEC Form 3898 Permit Application Packet for Activities in the South Carolina Critical Area - South Carolina, Page 8

    8

  • DHEC Form 3898 Permit Application Packet for Activities in the South Carolina Critical Area - South Carolina, Page 9

    9

  • DHEC Form 3898 Permit Application Packet for Activities in the South Carolina Critical Area - South Carolina, Page 10

    10

  • DHEC Form 3898 Permit Application Packet for Activities in the South Carolina Critical Area - South Carolina, Page 11

    11

  • DHEC Form 3898 Permit Application Packet for Activities in the South Carolina Critical Area - South Carolina, Page 12

    12

  • DHEC Form 3898 Permit Application Packet for Activities in the South Carolina Critical Area - South Carolina, Page 13

    13

  • DHEC Form 3898 Permit Application Packet for Activities in the South Carolina Critical Area - South Carolina, Page 14

    14

  • DHEC Form 3898 Permit Application Packet for Activities in the South Carolina Critical Area - South Carolina, Page 1
  • DHEC Form 3898 Permit Application Packet for Activities in the South Carolina Critical Area - South Carolina, Page 2
  • DHEC Form 3898 Permit Application Packet for Activities in the South Carolina Critical Area - South Carolina, Page 3
  • DHEC Form 3898 Permit Application Packet for Activities in the South Carolina Critical Area - South Carolina, Page 4
  • DHEC Form 3898 Permit Application Packet for Activities in the South Carolina Critical Area - South Carolina, Page 5
  • DHEC Form 3898 Permit Application Packet for Activities in the South Carolina Critical Area - South Carolina, Page 6
  • DHEC Form 3898 Permit Application Packet for Activities in the South Carolina Critical Area - South Carolina, Page 7
  • DHEC Form 3898 Permit Application Packet for Activities in the South Carolina Critical Area - South Carolina, Page 8
  • DHEC Form 3898 Permit Application Packet for Activities in the South Carolina Critical Area - South Carolina, Page 9
  • DHEC Form 3898 Permit Application Packet for Activities in the South Carolina Critical Area - South Carolina, Page 10
  • DHEC Form 3898 Permit Application Packet for Activities in the South Carolina Critical Area - South Carolina, Page 11
  • DHEC Form 3898 Permit Application Packet for Activities in the South Carolina Critical Area - South Carolina, Page 12
  • DHEC Form 3898 Permit Application Packet for Activities in the South Carolina Critical Area - South Carolina, Page 13
  • DHEC Form 3898 Permit Application Packet for Activities in the South Carolina Critical Area - South Carolina, Page 14
Prev 1 2 3 4 5 ... 14 Next
ADVERTISEMENT

Related Documents