DHEC Form 3581 Application for Groundwater Withdrawal Permit Renewal - South Carolina

DHEC Form 3581 Application for Groundwater Withdrawal Permit Renewal - South Carolina

What Is DHEC Form 3581?

This is a legal form that was released by the South Carolina Department of Health and Environmental Control - a government authority operating within South Carolina. As of today, no separate filing guidelines for the form are provided by the issuing department.

FAQ

Q: What is DHEC Form 3581?
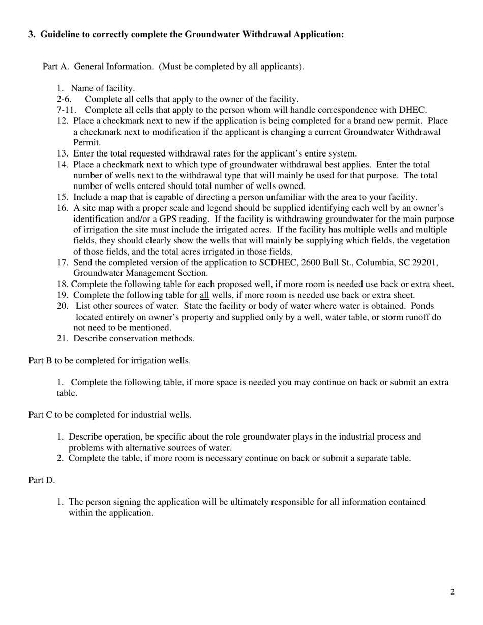
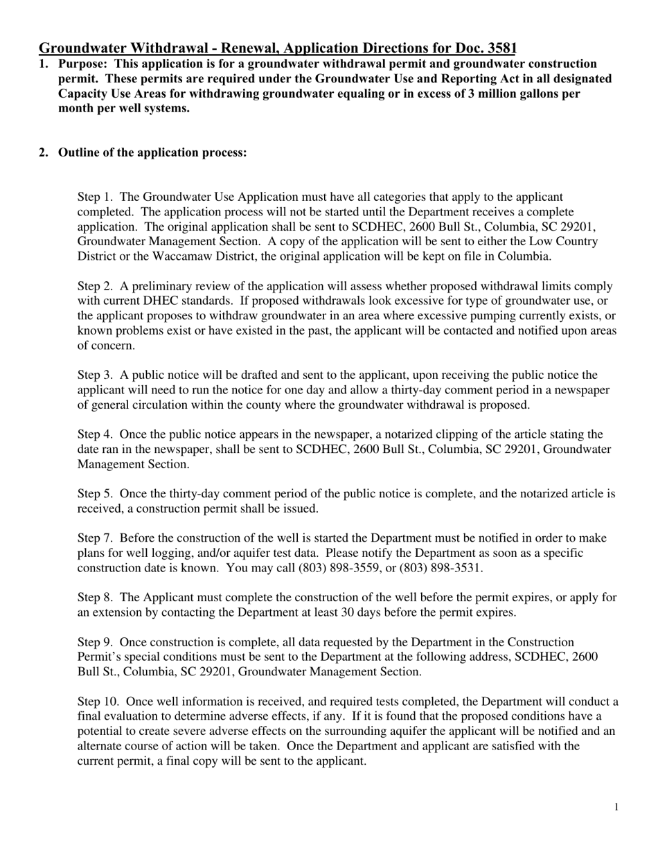
A: DHEC Form 3581 is an application form for renewing a groundwater withdrawal permit in South Carolina.

Q: What is a groundwater withdrawal permit?
A: A groundwater withdrawal permit is a permit that allows individuals or organizations to withdraw water from underground sources in South Carolina.

Q: Who needs to fill out DHEC Form 3581?
A: Anyone who currently holds a groundwater withdrawal permit in South Carolina and wants to renew it needs to fill out DHEC Form 3581.

Q: What information is required on DHEC Form 3581?
A: DHEC Form 3581 requires information about the applicant, the location of the groundwater withdrawal, the amount of water being withdrawn, and other relevant details.

Q: Is there a fee for submitting DHEC Form 3581?
A: Yes, there is a fee associated with submitting DHEC Form 3581. The fee amount can vary and should be paid according to the instructions provided with the form.

Q: When should I submit DHEC Form 3581?
A: DHEC Form 3581 should be submitted at least 90 days prior to the expiration date of the current groundwater withdrawal permit.

Q: What happens after submitting DHEC Form 3581?
A: After submitting DHEC Form 3581, the South Carolina Department of Health and Environmental Control will review the application and make a decision on whether to renew the groundwater withdrawal permit.

Q: How long does it take to process DHEC Form 3581?
A: The processing time for DHEC Form 3581 can vary, but it typically takes several weeks to several months for the South Carolina Department of Health and Environmental Control to review and make a decision on the application.

ADVERTISEMENT

Form Details:

  • Released on November 1, 2000;
  • The latest edition provided by the South Carolina Department of Health and Environmental Control;
  • Easy to use and ready to print;
  • Quick to customize;
  • Compatible with most PDF-viewing applications;
  • Fill out the form in our online filing application.

Download a fillable version of DHEC Form 3581 by clicking the link below or browse more documents and templates provided by the South Carolina Department of Health and Environmental Control.

Download DHEC Form 3581 Application for Groundwater Withdrawal Permit Renewal - South Carolina

4.3 of 5 (43 votes)
  • DHEC Form 3581 Application for Groundwater Withdrawal Permit Renewal - South Carolina

    1

  • DHEC Form 3581 Application for Groundwater Withdrawal Permit Renewal - South Carolina, Page 2

    2

  • DHEC Form 3581 Application for Groundwater Withdrawal Permit Renewal - South Carolina, Page 3

    3

  • DHEC Form 3581 Application for Groundwater Withdrawal Permit Renewal - South Carolina, Page 4

    4

  • DHEC Form 3581 Application for Groundwater Withdrawal Permit Renewal - South Carolina, Page 5

    5

  • DHEC Form 3581 Application for Groundwater Withdrawal Permit Renewal - South Carolina, Page 6

    6

  • DHEC Form 3581 Application for Groundwater Withdrawal Permit Renewal - South Carolina, Page 7

    7

  • DHEC Form 3581 Application for Groundwater Withdrawal Permit Renewal - South Carolina, Page 1
  • DHEC Form 3581 Application for Groundwater Withdrawal Permit Renewal - South Carolina, Page 2
  • DHEC Form 3581 Application for Groundwater Withdrawal Permit Renewal - South Carolina, Page 3
  • DHEC Form 3581 Application for Groundwater Withdrawal Permit Renewal - South Carolina, Page 4
  • DHEC Form 3581 Application for Groundwater Withdrawal Permit Renewal - South Carolina, Page 5
  • DHEC Form 3581 Application for Groundwater Withdrawal Permit Renewal - South Carolina, Page 6
  • DHEC Form 3581 Application for Groundwater Withdrawal Permit Renewal - South Carolina, Page 7
Prev 1 2 3 4 5 ... 7 Next
ADVERTISEMENT

Related Documents