Form 20214 Application for Permit to Discharge From a Large Municipal Separate Storm Sewer System (Ms4) Into Surface Water in the State - Texas

Form 20214 Application for Permit to Discharge From a Large Municipal Separate Storm Sewer System (Ms4) Into Surface Water in the State - Texas

What Is Form 20214?

This is a legal form that was released by the Texas Commission on Environmental Quality - a government authority operating within Texas. As of today, no separate filing guidelines for the form are provided by the issuing department.

FAQ

Q: What is Form 20214?
A: Form 20214 is an application for a permit to discharge from a large Municipal Separate Storm Sewer System (MS4) into surface water in the state of Texas.

Q: Who is required to submit Form 20214?
A: Entities that operate a large MS4 in Texas and want to discharge stormwater into surface water are required to submit Form 20214.

Q: What is a Municipal Separate Storm Sewer System (MS4)?
A: An MS4 is a system of conveyances, such as pipes or channels, that is owned by a city, town, or other public entity and is designed to collect and carry stormwater.

Q: What does the Form 20214 application involve?
A: The Form 20214 application involves providing information about the MS4, including its location, the type of discharges, and the measures that will be taken to reduce pollutants in stormwater.

ADVERTISEMENT

Form Details:

  • Released on December 14, 2014;
  • The latest edition provided by the Texas Commission on Environmental Quality;
  • Easy to use and ready to print;
  • Quick to customize;
  • Compatible with most PDF-viewing applications;
  • Fill out the form in our online filing application.

Download a fillable version of Form 20214 by clicking the link below or browse more documents and templates provided by the Texas Commission on Environmental Quality.

Download Form 20214 Application for Permit to Discharge From a Large Municipal Separate Storm Sewer System (Ms4) Into Surface Water in the State - Texas

4.7 of 5 (50 votes)
  • Form 20214 Application for Permit to Discharge From a Large Municipal Separate Storm Sewer System (Ms4) Into Surface Water in the State - Texas

    1

  • Form 20214 Application for Permit to Discharge From a Large Municipal Separate Storm Sewer System (Ms4) Into Surface Water in the State - Texas, Page 2

    2

  • Form 20214 Application for Permit to Discharge From a Large Municipal Separate Storm Sewer System (Ms4) Into Surface Water in the State - Texas, Page 3

    3

  • Form 20214 Application for Permit to Discharge From a Large Municipal Separate Storm Sewer System (Ms4) Into Surface Water in the State - Texas, Page 4

    4

  • Form 20214 Application for Permit to Discharge From a Large Municipal Separate Storm Sewer System (Ms4) Into Surface Water in the State - Texas, Page 5

    5

  • Form 20214 Application for Permit to Discharge From a Large Municipal Separate Storm Sewer System (Ms4) Into Surface Water in the State - Texas, Page 6

    6

  • Form 20214 Application for Permit to Discharge From a Large Municipal Separate Storm Sewer System (Ms4) Into Surface Water in the State - Texas, Page 7

    7

  • Form 20214 Application for Permit to Discharge From a Large Municipal Separate Storm Sewer System (Ms4) Into Surface Water in the State - Texas, Page 8

    8

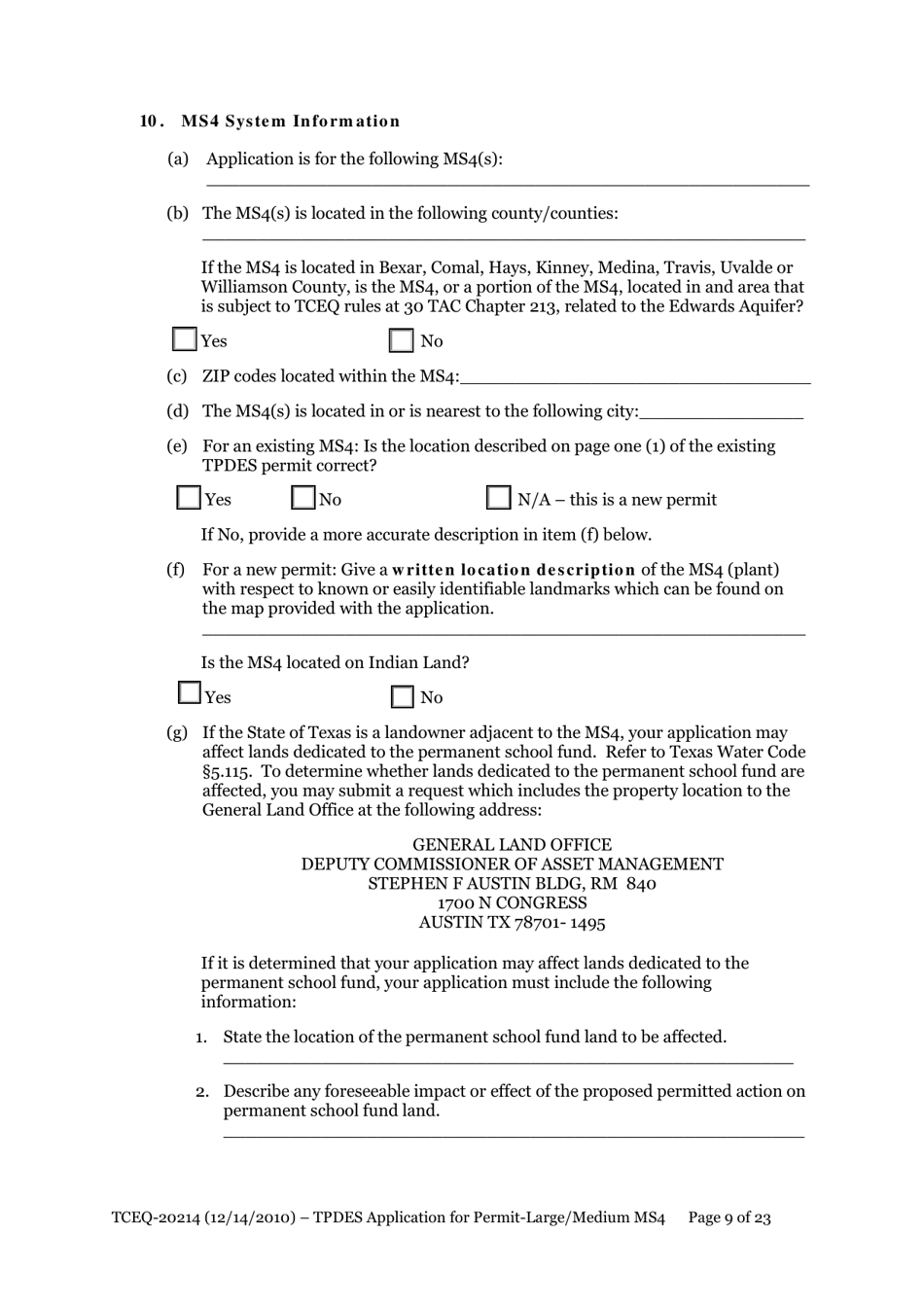
  • Form 20214 Application for Permit to Discharge From a Large Municipal Separate Storm Sewer System (Ms4) Into Surface Water in the State - Texas, Page 9

    9

  • Form 20214 Application for Permit to Discharge From a Large Municipal Separate Storm Sewer System (Ms4) Into Surface Water in the State - Texas, Page 10

    10

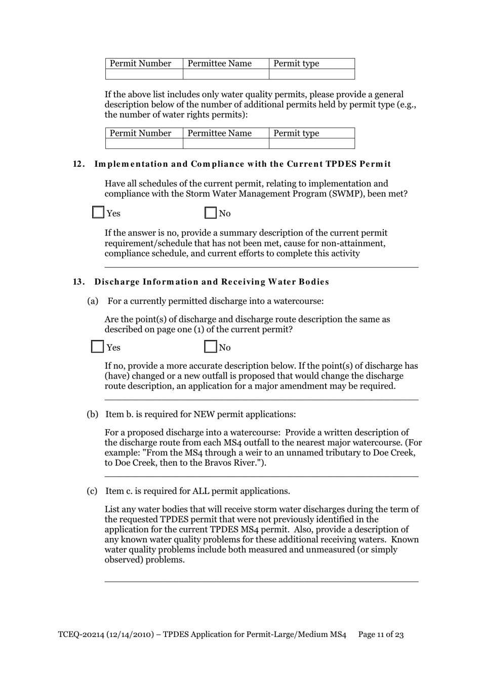
  • Form 20214 Application for Permit to Discharge From a Large Municipal Separate Storm Sewer System (Ms4) Into Surface Water in the State - Texas, Page 11

    11

  • Form 20214 Application for Permit to Discharge From a Large Municipal Separate Storm Sewer System (Ms4) Into Surface Water in the State - Texas, Page 12

    12

  • Form 20214 Application for Permit to Discharge From a Large Municipal Separate Storm Sewer System (Ms4) Into Surface Water in the State - Texas, Page 13

    13

  • Form 20214 Application for Permit to Discharge From a Large Municipal Separate Storm Sewer System (Ms4) Into Surface Water in the State - Texas, Page 14

    14

  • Form 20214 Application for Permit to Discharge From a Large Municipal Separate Storm Sewer System (Ms4) Into Surface Water in the State - Texas, Page 15

    15

  • Form 20214 Application for Permit to Discharge From a Large Municipal Separate Storm Sewer System (Ms4) Into Surface Water in the State - Texas, Page 16

    16

  • Form 20214 Application for Permit to Discharge From a Large Municipal Separate Storm Sewer System (Ms4) Into Surface Water in the State - Texas, Page 17

    17

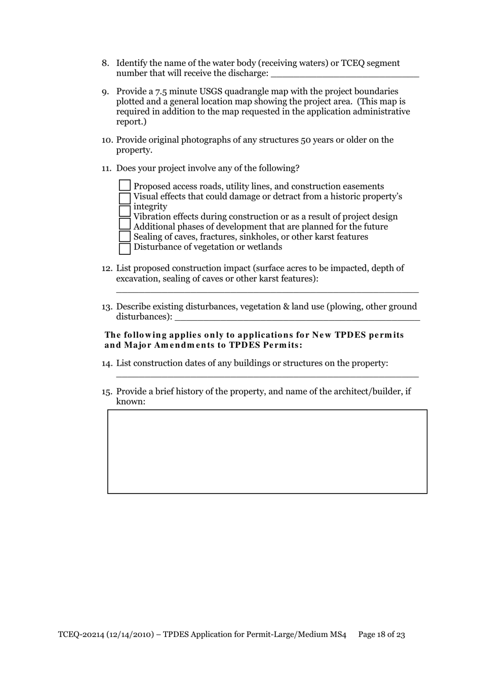
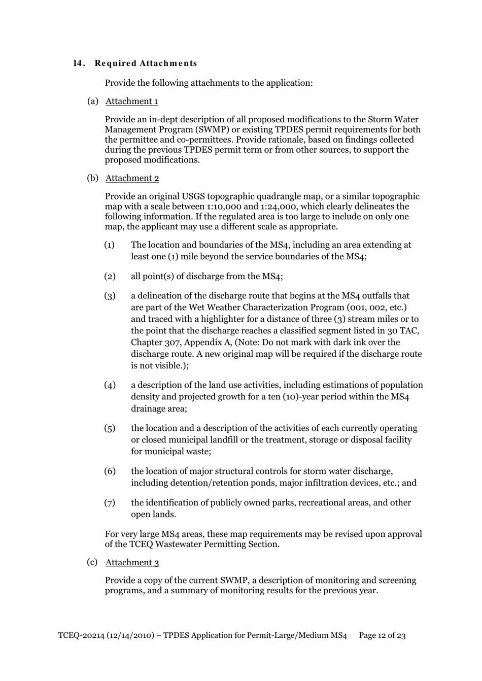
  • Form 20214 Application for Permit to Discharge From a Large Municipal Separate Storm Sewer System (Ms4) Into Surface Water in the State - Texas, Page 18

    18

  • Form 20214 Application for Permit to Discharge From a Large Municipal Separate Storm Sewer System (Ms4) Into Surface Water in the State - Texas, Page 19

    19

  • Form 20214 Application for Permit to Discharge From a Large Municipal Separate Storm Sewer System (Ms4) Into Surface Water in the State - Texas, Page 20

    20

  • Form 20214 Application for Permit to Discharge From a Large Municipal Separate Storm Sewer System (Ms4) Into Surface Water in the State - Texas, Page 21

    21

  • Form 20214 Application for Permit to Discharge From a Large Municipal Separate Storm Sewer System (Ms4) Into Surface Water in the State - Texas, Page 22

    22

  • Form 20214 Application for Permit to Discharge From a Large Municipal Separate Storm Sewer System (Ms4) Into Surface Water in the State - Texas, Page 23

    23

  • Form 20214 Application for Permit to Discharge From a Large Municipal Separate Storm Sewer System (Ms4) Into Surface Water in the State - Texas, Page 1
  • Form 20214 Application for Permit to Discharge From a Large Municipal Separate Storm Sewer System (Ms4) Into Surface Water in the State - Texas, Page 2
  • Form 20214 Application for Permit to Discharge From a Large Municipal Separate Storm Sewer System (Ms4) Into Surface Water in the State - Texas, Page 3
  • Form 20214 Application for Permit to Discharge From a Large Municipal Separate Storm Sewer System (Ms4) Into Surface Water in the State - Texas, Page 4
  • Form 20214 Application for Permit to Discharge From a Large Municipal Separate Storm Sewer System (Ms4) Into Surface Water in the State - Texas, Page 5
  • Form 20214 Application for Permit to Discharge From a Large Municipal Separate Storm Sewer System (Ms4) Into Surface Water in the State - Texas, Page 6
  • Form 20214 Application for Permit to Discharge From a Large Municipal Separate Storm Sewer System (Ms4) Into Surface Water in the State - Texas, Page 7
  • Form 20214 Application for Permit to Discharge From a Large Municipal Separate Storm Sewer System (Ms4) Into Surface Water in the State - Texas, Page 8
  • Form 20214 Application for Permit to Discharge From a Large Municipal Separate Storm Sewer System (Ms4) Into Surface Water in the State - Texas, Page 9
  • Form 20214 Application for Permit to Discharge From a Large Municipal Separate Storm Sewer System (Ms4) Into Surface Water in the State - Texas, Page 10
  • Form 20214 Application for Permit to Discharge From a Large Municipal Separate Storm Sewer System (Ms4) Into Surface Water in the State - Texas, Page 11
  • Form 20214 Application for Permit to Discharge From a Large Municipal Separate Storm Sewer System (Ms4) Into Surface Water in the State - Texas, Page 12
  • Form 20214 Application for Permit to Discharge From a Large Municipal Separate Storm Sewer System (Ms4) Into Surface Water in the State - Texas, Page 13
  • Form 20214 Application for Permit to Discharge From a Large Municipal Separate Storm Sewer System (Ms4) Into Surface Water in the State - Texas, Page 14
  • Form 20214 Application for Permit to Discharge From a Large Municipal Separate Storm Sewer System (Ms4) Into Surface Water in the State - Texas, Page 15
  • Form 20214 Application for Permit to Discharge From a Large Municipal Separate Storm Sewer System (Ms4) Into Surface Water in the State - Texas, Page 16
  • Form 20214 Application for Permit to Discharge From a Large Municipal Separate Storm Sewer System (Ms4) Into Surface Water in the State - Texas, Page 17
  • Form 20214 Application for Permit to Discharge From a Large Municipal Separate Storm Sewer System (Ms4) Into Surface Water in the State - Texas, Page 18
  • Form 20214 Application for Permit to Discharge From a Large Municipal Separate Storm Sewer System (Ms4) Into Surface Water in the State - Texas, Page 19
  • Form 20214 Application for Permit to Discharge From a Large Municipal Separate Storm Sewer System (Ms4) Into Surface Water in the State - Texas, Page 20
  • Form 20214 Application for Permit to Discharge From a Large Municipal Separate Storm Sewer System (Ms4) Into Surface Water in the State - Texas, Page 21
  • Form 20214 Application for Permit to Discharge From a Large Municipal Separate Storm Sewer System (Ms4) Into Surface Water in the State - Texas, Page 22
  • Form 20214 Application for Permit to Discharge From a Large Municipal Separate Storm Sewer System (Ms4) Into Surface Water in the State - Texas, Page 23
Prev 1 2 3 4 5 ... 23 Next
ADVERTISEMENT

Related Documents