Form 17.10 Letter of Credit for Third-Party Damages From Environmental Pollution Liability With Optional Standby Trust Agreement to Be Used by Transfer, Processor, Re-refiner, or off-Specification Burner Facility - Utah

Form 17.10 Letter of Credit for Third-Party Damages From Environmental Pollution Liability With Optional Standby Trust Agreement to Be Used by Transfer, Processor, Re-refiner, or off-Specification Burner Facility - Utah

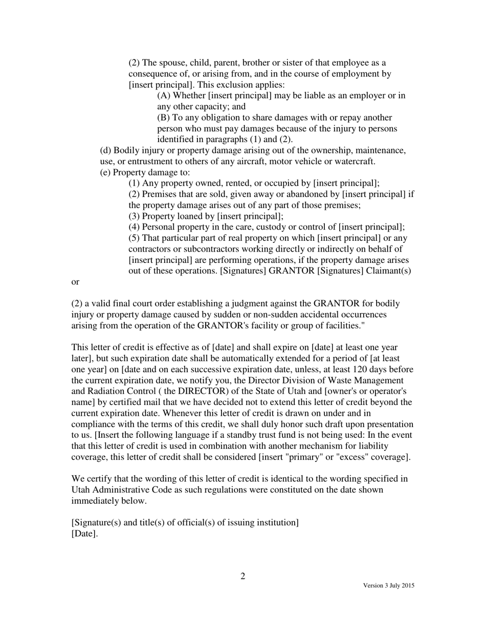
What Is Form 17.10?

This is a legal form that was released by the Utah Department of Environmental Quality - a government authority operating within Utah. As of today, no separate filing guidelines for the form are provided by the issuing department.

FAQ

Q: What is a Form 17.10 Letter of Credit?
A: A Form 17.10 Letter of Credit is a document used to provide financial assurance for potential environmental pollution liabilities.

Q: Who can use a Form 17.10 Letter of Credit?
A: Transfer facilities, processors, re-refiners, or off-specification burner facilities in Utah can use a Form 17.10 Letter of Credit.

Q: What is the purpose of a Form 17.10 Letter of Credit?
A: The purpose of a Form 17.10 Letter of Credit is to ensure that funds are available to cover any third-party damages resulting from environmental pollution caused by the facility.

Q: What is an Optional Standby Trust Agreement?
A: An Optional Standby Trust Agreement is an additional provision that can be included in a Form 17.10 Letter of Credit to establish a trust fund as an alternative means of providing financial assurance.

Q: Why is a Form 17.10 Letter of Credit important?
A: A Form 17.10 Letter of Credit is important because it helps protect the environment and provides financial security in case of any pollution-related damages caused by the facility.

ADVERTISEMENT

Form Details:

  • Released on July 1, 2015;
  • The latest edition provided by the Utah Department of Environmental Quality;
  • Easy to use and ready to print;
  • Quick to customize;
  • Compatible with most PDF-viewing applications;
  • Fill out the form in our online filing application.

Download a printable version of Form 17.10 by clicking the link below or browse more documents and templates provided by the Utah Department of Environmental Quality.

Download Form 17.10 Letter of Credit for Third-Party Damages From Environmental Pollution Liability With Optional Standby Trust Agreement to Be Used by Transfer, Processor, Re-refiner, or off-Specification Burner Facility - Utah

4.6 of 5 (27 votes)
  • Form 17.10 Letter of Credit for Third-Party Damages From Environmental Pollution Liability With Optional Standby Trust Agreement to Be Used by Transfer, Processor, Re-refiner, or off-Specification Burner Facility - Utah

    1

  • Form 17.10 Letter of Credit for Third-Party Damages From Environmental Pollution Liability With Optional Standby Trust Agreement to Be Used by Transfer, Processor, Re-refiner, or off-Specification Burner Facility - Utah, Page 2

    2

  • Form 17.10 Letter of Credit for Third-Party Damages From Environmental Pollution Liability With Optional Standby Trust Agreement to Be Used by Transfer, Processor, Re-refiner, or off-Specification Burner Facility - Utah, Page 3

    3

  • Form 17.10 Letter of Credit for Third-Party Damages From Environmental Pollution Liability With Optional Standby Trust Agreement to Be Used by Transfer, Processor, Re-refiner, or off-Specification Burner Facility - Utah, Page 1
  • Form 17.10 Letter of Credit for Third-Party Damages From Environmental Pollution Liability With Optional Standby Trust Agreement to Be Used by Transfer, Processor, Re-refiner, or off-Specification Burner Facility - Utah, Page 2
  • Form 17.10 Letter of Credit for Third-Party Damages From Environmental Pollution Liability With Optional Standby Trust Agreement to Be Used by Transfer, Processor, Re-refiner, or off-Specification Burner Facility - Utah, Page 3
Prev 1 2 3 Next
ADVERTISEMENT