DCYF Form 15-372 Enumeration Referral - Washington

DCYF Form 15-372 Enumeration Referral - Washington

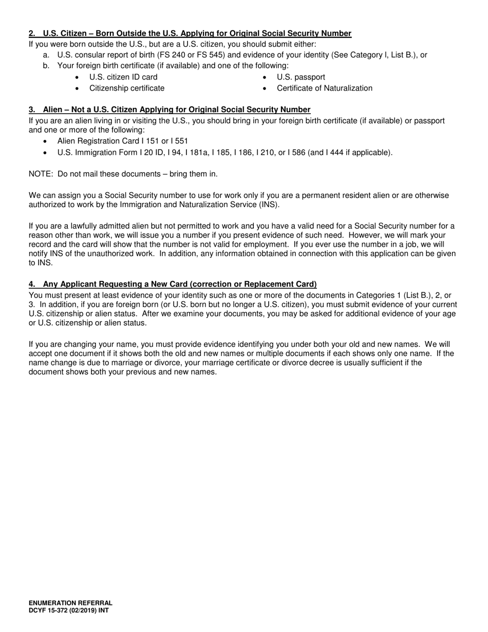
What Is DCYF Form 15-372?

This is a legal form that was released by the Washington State Department of Children, Youth, and Families - a government authority operating within Washington. As of today, no separate filing guidelines for the form are provided by the issuing department.

FAQ

Q: What is DCYF Form 15-372?
A: DCYF Form 15-372 is an Enumeration Referral Form used by the Washington State Department of Children, Youth, and Families (DCYF).

Q: What is the purpose of DCYF Form 15-372?
A: The purpose of DCYF Form 15-372 is to refer individuals or households to the Enumeration Assistance Program (EAP) for assistance with obtaining an identification document.

Q: What is the Enumeration Assistance Program (EAP)?
A: The Enumeration Assistance Program (EAP) is a program operated by DCYF that helps individuals and households who are at risk of or experiencing homelessness to obtain identification documents.

Q: Who can fill out DCYF Form 15-372?
A: DCYF Form 15-372 can be filled out by DCYF staff, service providers, or other community organizations who are referring individuals or households to the Enumeration Assistance Program (EAP).

Q: How do I submit DCYF Form 15-372?
A: DCYF Form 15-372 can be submitted to the Enumeration Assistance Program (EAP) either in person or by mail, as specified on the form.

ADVERTISEMENT

Form Details:

  • Released on February 1, 2019;
  • The latest edition provided by the Washington State Department of Children, Youth, and Families;
  • Easy to use and ready to print;
  • Quick to customize;
  • Compatible with most PDF-viewing applications;
  • Fill out the form in our online filing application.

Download a fillable version of DCYF Form 15-372 by clicking the link below or browse more documents and templates provided by the Washington State Department of Children, Youth, and Families.

Download DCYF Form 15-372 Enumeration Referral - Washington

4.8 of 5 (64 votes)
  • DCYF Form 15-372 Enumeration Referral - Washington

    1

  • DCYF Form 15-372 Enumeration Referral - Washington, Page 2

    2

  • DCYF Form 15-372 Enumeration Referral - Washington, Page 3

    3

  • DCYF Form 15-372 Enumeration Referral - Washington, Page 1
  • DCYF Form 15-372 Enumeration Referral - Washington, Page 2
  • DCYF Form 15-372 Enumeration Referral - Washington, Page 3
Prev 1 2 3 Next
ADVERTISEMENT