Advance Directive for Health Care Form - Delaware

Advance Directive for Health Care Form - Delaware

A Delaware Advance Directive is a set of written legal instructions regarding an individual's wishes and preferences for medical care that become effective in the events when they are unable to make decisions for themselves. If a patient does not have their health care wishes specified, these decisions can be placed in the hands of family members, doctors, or even judges, who may know very little about what the patient prefers. Download a ready-made directive through the link below or create your own form with our form builder.

There is a difference between an Advance Directive for Health Care and a Living Will in Delaware. The former comes into force in all cases when an individual is too ill to communicate or unconscious. The latter is a specific type of directive that takes effect when a patient is terminally ill and only lists decisions about life-sustaining medical procedures.

A Delaware Advance Directive is regulated by Chapter 25 of the Regulatory Provisions Concerning Public Health (Health-Care Decisions) . The instructions must be in writing and witnessed by two (2) or more adult witnesses neither of whom are related to the individual or entitled to any portion of their estate.

ADVERTISEMENT

What Is a Delaware Advance Directive?

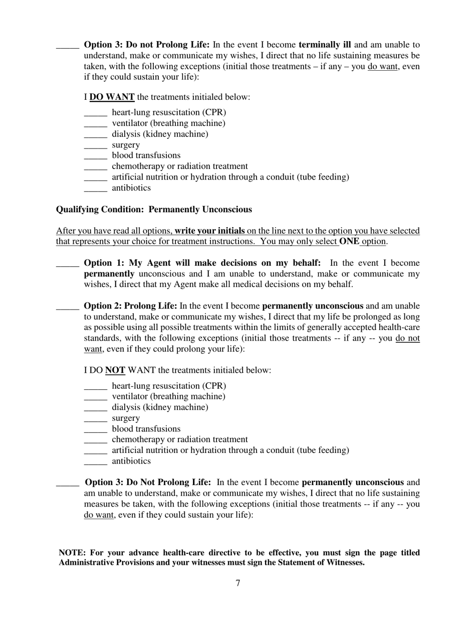
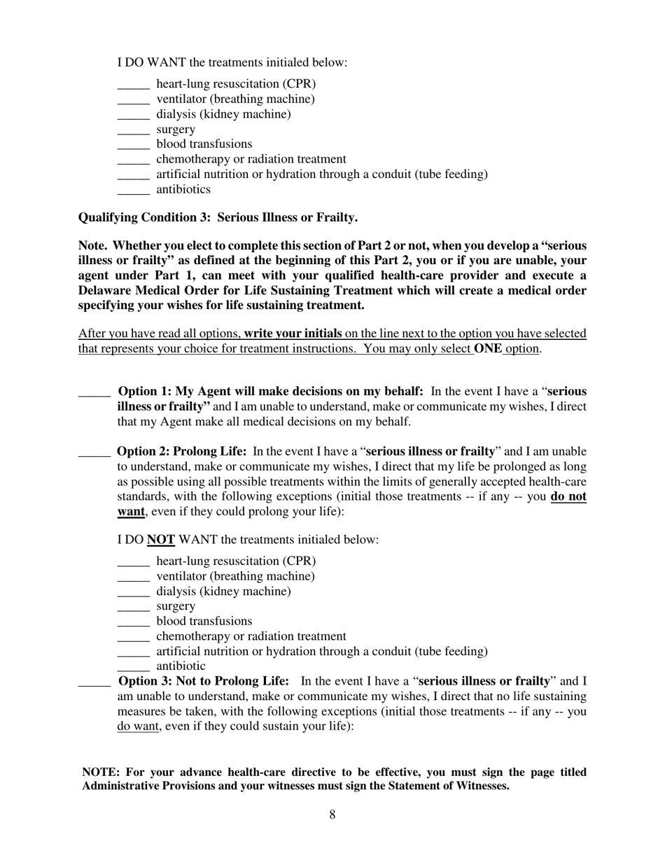
An Advance Directive is a legal document by which an individual appoints a proxy to make healthcare decisions for when they are no longer able to and to administer or withhold treatment and procedures based on their previously stated wishes. The document includes two separate forms:

  • A Living Will (a written statement listing decisions about life-­sustaining procedures in the event of a terminal condition);
  • A Durable Power of Attorney for Health Care (a document appointing an attorney-in-fact to make medical decisions for the individual).

The attorney-in-fact should meet the following criteria:

  1. The health care proxy - or agent - must meet Delaware's legal requirements.
  2. The individual's doctor or a member of their medical care team may not be selected as a proxy.
  3. The elected individual should be trusted to be the patient's advocate in any disagreements about their care.

How to Write an Advance Directive in Delaware?

You'll need to follow these important steps when preparing your document:

STEP 1 - Choose your health care agent - or proxy. This agent should be a person you trust to make medical decisions for you.

STEP 2 - Consider the kinds of treatment you do or do not want to receive in the event of a serious illness or incapacitation. Consider whether you want to:

  • Take antibiotics to treat infections;
  • Receive cardiopulmonary resuscitation (CPR);
  • Be on an extracorporeal membrane oxygenation (ECMO) machine when you cannot breathe on your own;
  • Be on a dialysis machine in case of kidney failure;
  • Be tube-fed if you can't eat or drink on your own.

STEP 3 - Keep the original completed and signed Advance Directive form with your medical records and give copies out to your health care proxy, physicians, health care providers, and - if necessary - to family members and close friends.

Download Advance Directive for Health Care Form - Delaware

4.6 of 5 (7 votes)
  • Advance Directive for Health Care Form - Delaware

    1

  • Advance Directive for Health Care Form - Delaware, Page 2

    2

  • Advance Directive for Health Care Form - Delaware, Page 3

    3

  • Advance Directive for Health Care Form - Delaware, Page 4

    4

  • Advance Directive for Health Care Form - Delaware, Page 5

    5

  • Advance Directive for Health Care Form - Delaware, Page 6

    6

  • Advance Directive for Health Care Form - Delaware, Page 7

    7

  • Advance Directive for Health Care Form - Delaware, Page 8

    8

  • Advance Directive for Health Care Form - Delaware, Page 9

    9

  • Advance Directive for Health Care Form - Delaware, Page 10

    10

  • Advance Directive for Health Care Form - Delaware, Page 11

    11

  • Advance Directive for Health Care Form - Delaware, Page 12

    12

  • Advance Directive for Health Care Form - Delaware, Page 1
  • Advance Directive for Health Care Form - Delaware, Page 2
  • Advance Directive for Health Care Form - Delaware, Page 3
  • Advance Directive for Health Care Form - Delaware, Page 4
  • Advance Directive for Health Care Form - Delaware, Page 5
  • Advance Directive for Health Care Form - Delaware, Page 6
  • Advance Directive for Health Care Form - Delaware, Page 7
  • Advance Directive for Health Care Form - Delaware, Page 8
  • Advance Directive for Health Care Form - Delaware, Page 9
  • Advance Directive for Health Care Form - Delaware, Page 10
  • Advance Directive for Health Care Form - Delaware, Page 11
  • Advance Directive for Health Care Form - Delaware, Page 12
Prev 1 2 3 4 5 ... 12 Next
ADVERTISEMENT