Declaration to Physicians (Wisconsin Living Will Form) - Wisconsin

Declaration to Physicians (Wisconsin Living Will Form) - Wisconsin

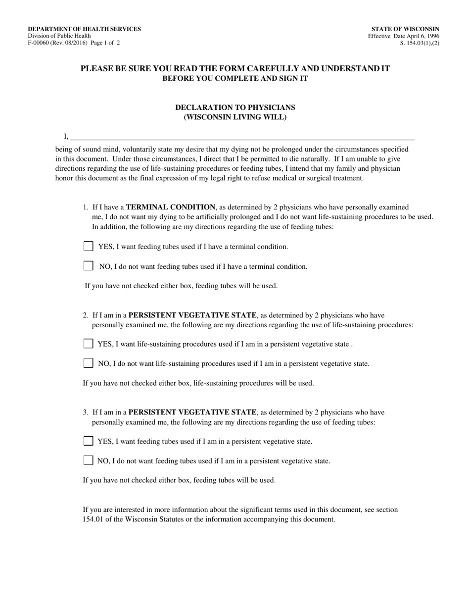
Form F-00060, Declaration to Physicians (Wisconsin Living Will) - sometimes confused with an Advance Directive - is a crucial document for patients looking for more control over the medical treatment they would want in the event of incapacitation. The form was released by the Wisconsin Department of Health Services on August 1, 2016 , and can be downloaded through the link below.

With a signed and legal will with all wishes clearly stated, the patient can make pre-plan all procedures regarding palliative care, life support, and life-sustaining treatment. The paperwork should be given careful thought and be talked about with the patient's family, physician, and health care providers since they will be tasked with implementing the specified wishes and procedures.

A Wisconsin Living Will is defined by the Wisconsin Statutes on Health (Ch. 140 to 162) . The will must be signed by two (2) witnesses. The document is not valid if the patient is pregnant.

ADVERTISEMENT

What Is a Wisconsin Living Will?

A Living Will is a legal document that specifies the type of medical care that an individual does or does not want in the event if they are unable to communicate their wishes. Living Wills come into play only when one faces a life-threatening condition and is unable to assert their specific desires regarding treatment.

In the case when an individual suffering from a terminal illness or with a life-threatening injury falls unconscious, hospitals and doctors must refer to their will to determine whether or not the patient wanted life-sustaining treatment, such as tube feeding or assisted breathing.

An individual can print a will to pre-organize their health care in the future situation, to prevent major arguments between family members, to control any necessary medical treatments and procedures and to reduce potential extra medical bills.

How to Make a Living Will in Wisconsin?

A basic Living Will can be completed without a lawyer or an attorney. Generally, the forms need to include the following sections:

  1. A designation of health care proxy - a third party tasked with making any and all healthcare-related decisions on the patient's behalf.
  2. General provisions - the general wishes concerning healthcare, custody and medical treatment.
  3. Life-sustaining medical treatment - provisions regarding life-support, tube feeding, surgeries, antibiotics or medication.
  4. Comfort and pain relief - the patient may choose any treatment even if it results in hastening the death or a temporary addiction.
  5. The agent's obligations - the agent must take the patient's personal values to the extent known to them into consideration.
  6. End of life decisions - including the provisions regarding the withholding or withdrawal of treatment.
  7. The patient's statement and signature - the patient must certify that they are fully aware and completely understand the contents of the document.

Download Declaration to Physicians (Wisconsin Living Will Form) - Wisconsin

4.8 of 5 (8 votes)
  • Declaration to Physicians (Wisconsin Living Will Form) - Wisconsin

    1

  • Declaration to Physicians (Wisconsin Living Will Form) - Wisconsin, Page 2

    2

  • Declaration to Physicians (Wisconsin Living Will Form) - Wisconsin, Page 3

    3

  • Declaration to Physicians (Wisconsin Living Will Form) - Wisconsin, Page 4

    4

  • Declaration to Physicians (Wisconsin Living Will Form) - Wisconsin, Page 1
  • Declaration to Physicians (Wisconsin Living Will Form) - Wisconsin, Page 2
  • Declaration to Physicians (Wisconsin Living Will Form) - Wisconsin, Page 3
  • Declaration to Physicians (Wisconsin Living Will Form) - Wisconsin, Page 4
Prev 1 2 3 4 Next
ADVERTISEMENT

Related Documents