Form DEEP-TV-APP-100NMM Non-minor Modification Application for an Existing Title V Permit - Connecticut

Form DEEP-TV-APP-100NMM Non-minor Modification Application for an Existing Title V Permit - Connecticut

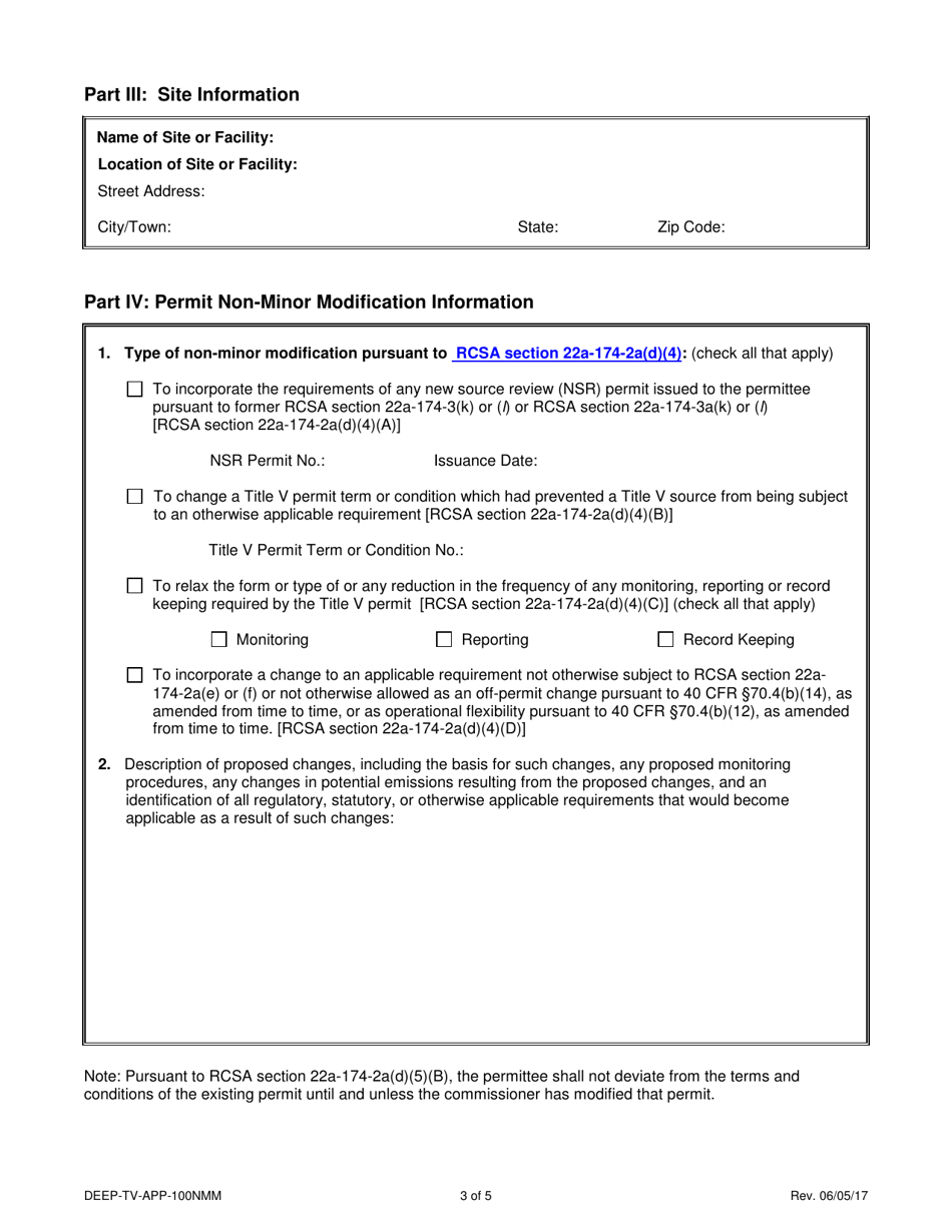
What Is Form DEEP-TV-APP-100NMM?

This is a legal form that was released by the Connecticut Department of Energy and Environmental Protection - a government authority operating within Connecticut. Check the official instructions before completing and submitting the form.

FAQ

Q: What is the DEEP-TV-APP-100NMM form?
A: The DEEP-TV-APP-100NMM form is the Non-minor Modification Application for an Existing Title V Permit used in Connecticut.

Q: What is a Title V Permit?
A: A Title V Permit is a permit issued by the Connecticut Department of Energy and Environmental Protection (DEEP) that allows a facility to operate and emit air pollutants.

Q: What is a non-minor modification?
A: A non-minor modification refers to a change or alteration made to an existing Title V Permit that is not considered to be a minor change.

Q: When should the DEEP-TV-APP-100NMM form be used?
A: The DEEP-TV-APP-100NMM form should be used when applying for a non-minor modification to an existing Title V Permit in Connecticut.

Q: What information is required in the DEEP-TV-APP-100NMM form?
A: The DEEP-TV-APP-100NMM form requires information about the facility, the proposed modification, and any potential environmental impacts.

Q: Who should I contact for assistance with the DEEP-TV-APP-100NMM form?
A: For assistance with the DEEP-TV-APP-100NMM form, you can contact the Connecticut DEEP Air Permitting and Compliance Program.

Q: Is the DEEP-TV-APP-100NMM form specific to Connecticut only?
A: Yes, the DEEP-TV-APP-100NMM form is specific to Connecticut. Other states may have different application forms for non-minor modifications to Title V Permits.

Q: What is the purpose of the DEEP-TV-APP-100NMM form?
A: The purpose of the DEEP-TV-APP-100NMM form is to provide a standardized application process for requesting non-minor modifications to existing Title V Permits in Connecticut.

ADVERTISEMENT

Form Details:

  • Released on June 5, 2017;
  • The latest edition provided by the Connecticut Department of Energy and Environmental Protection;
  • Easy to use and ready to print;
  • Quick to customize;
  • Compatible with most PDF-viewing applications;
  • Fill out the form in our online filing application.

Download a printable version of Form DEEP-TV-APP-100NMM by clicking the link below or browse more documents and templates provided by the Connecticut Department of Energy and Environmental Protection.

Download Form DEEP-TV-APP-100NMM Non-minor Modification Application for an Existing Title V Permit - Connecticut

4.4 of 5 (27 votes)
  • Form DEEP-TV-APP-100NMM Non-minor Modification Application for an Existing Title V Permit - Connecticut

    1

  • Form DEEP-TV-APP-100NMM Non-minor Modification Application for an Existing Title V Permit - Connecticut, Page 2

    2

  • Form DEEP-TV-APP-100NMM Non-minor Modification Application for an Existing Title V Permit - Connecticut, Page 3

    3

  • Form DEEP-TV-APP-100NMM Non-minor Modification Application for an Existing Title V Permit - Connecticut, Page 4

    4

  • Form DEEP-TV-APP-100NMM Non-minor Modification Application for an Existing Title V Permit - Connecticut, Page 5

    5

  • Form DEEP-TV-APP-100NMM Non-minor Modification Application for an Existing Title V Permit - Connecticut, Page 1
  • Form DEEP-TV-APP-100NMM Non-minor Modification Application for an Existing Title V Permit - Connecticut, Page 2
  • Form DEEP-TV-APP-100NMM Non-minor Modification Application for an Existing Title V Permit - Connecticut, Page 3
  • Form DEEP-TV-APP-100NMM Non-minor Modification Application for an Existing Title V Permit - Connecticut, Page 4
  • Form DEEP-TV-APP-100NMM Non-minor Modification Application for an Existing Title V Permit - Connecticut, Page 5
Prev 1 2 3 4 5 Next
ADVERTISEMENT

Related Documents