Form 5DC51 Petition for Ex Parte Temporary Restraining Order and for Injunction Against Harassment; Declaration of Petitioner; Temporary Restraining Order Against Harassment; and Notice of Hearing - Hawaii

Notification Icon This version of the form is not currently in use and is provided for reference only. Download this version of Form 5DC51 for the current year.

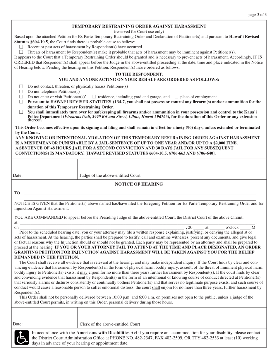
Form 5DC51 Petition for Ex Parte Temporary Restraining Order and for Injunction Against Harassment; Declaration of Petitioner; Temporary Restraining Order Against Harassment; and Notice of Hearing - Hawaii

What Is Form 5DC51?

This is a legal form that was released by the Hawaii District Courts - a government authority operating within Hawaii. As of today, no separate filing guidelines for the form are provided by the issuing department.

FAQ

Q: What is a Form 5DC51 Petition?
A: Form 5DC51 Petition is a legal document used in Hawaii to request an Ex Parte Temporary Restraining Order and Injunction Against Harassment.

Q: What is the purpose of a Form 5DC51 Petition?
A: The purpose of a Form 5DC51 Petition is to seek legal protection from harassment through a Temporary Restraining Order.

Q: What does the Declaration of Petitioner in this form entail?
A: The Declaration of Petitioner in this form should include a detailed account of the incidents of harassment and the reasons why a Temporary Restraining Order is necessary.

Q: What is a Temporary Restraining Order (TRO)?
A: A Temporary Restraining Order (TRO) is a court order that provides immediate protection from harassment or harm until a full hearing can take place.

Q: What is the purpose of the Notice of Hearing in this form?
A: The Notice of Hearing in this form serves as a notification to the person against whom the Temporary Restraining Order is made, informing them of the date and time of the court hearing.

Q: Who can file a Form 5DC51 Petition?
A: Any individual who is experiencing harassment and believes they need legal protection can file a Form 5DC51 Petition.

Q: Is there a fee for filing a Form 5DC51 Petition?
A: There may be a filing fee associated with submitting a Form 5DC51 Petition. It is advisable to check with the court clerk for the current fee amount.

Q: What should I do if I need immediate protection from harassment?
A: If you need immediate protection from harassment, you should consider filing a Form 5DC51 Petition and requesting an Ex Parte Temporary Restraining Order.

Q: What happens after I file a Form 5DC51 Petition?
A: After you file a Form 5DC51 Petition, the court will review your request and may schedule a hearing to determine whether to grant a Temporary Restraining Order.

Q: What should I bring to the court hearing for a Form 5DC51 Petition?
A: You should bring any evidence or documentation that supports your case, such as witness statements, emails, photographs, or other relevant records.

ADVERTISEMENT

Form Details:

  • Released on January 1, 2018;
  • The latest edition provided by the Hawaii District Courts;
  • Easy to use and ready to print;
  • Quick to customize;
  • Compatible with most PDF-viewing applications;
  • Fill out the form in our online filing application.

Download a fillable version of Form 5DC51 by clicking the link below or browse more documents and templates provided by the Hawaii District Courts.

Download Form 5DC51 Petition for Ex Parte Temporary Restraining Order and for Injunction Against Harassment; Declaration of Petitioner; Temporary Restraining Order Against Harassment; and Notice of Hearing - Hawaii

4.5 of 5 (33 votes)
  • Form 5DC51 Petition for Ex Parte Temporary Restraining Order and for Injunction Against Harassment; Declaration of Petitioner; Temporary Restraining Order Against Harassment; and Notice of Hearing - Hawaii

    1

  • Form 5DC51 Petition for Ex Parte Temporary Restraining Order and for Injunction Against Harassment; Declaration of Petitioner; Temporary Restraining Order Against Harassment; and Notice of Hearing - Hawaii, Page 2

    2

  • Form 5DC51 Petition for Ex Parte Temporary Restraining Order and for Injunction Against Harassment; Declaration of Petitioner; Temporary Restraining Order Against Harassment; and Notice of Hearing - Hawaii, Page 3

    3

  • Form 5DC51 Petition for Ex Parte Temporary Restraining Order and for Injunction Against Harassment; Declaration of Petitioner; Temporary Restraining Order Against Harassment; and Notice of Hearing - Hawaii, Page 1
  • Form 5DC51 Petition for Ex Parte Temporary Restraining Order and for Injunction Against Harassment; Declaration of Petitioner; Temporary Restraining Order Against Harassment; and Notice of Hearing - Hawaii, Page 2
  • Form 5DC51 Petition for Ex Parte Temporary Restraining Order and for Injunction Against Harassment; Declaration of Petitioner; Temporary Restraining Order Against Harassment; and Notice of Hearing - Hawaii, Page 3
Prev 1 2 3 Next
ADVERTISEMENT