Instructions for Form FA-1B Mobility Assessment and Prior Authorization (Pa) Request - Nevada

Notification Icon This version of the form is not currently in use and is provided for reference only. Download this version of Instructions for Form FA-1B for the current year.

Instructions for Form FA-1B Mobility Assessment and Prior Authorization (Pa) Request - Nevada

This document contains official instructions for Form FA-1B , Mobility Assessment and Prior Authorization (Pa) Request - a form released and collected by the Nevada Department of Health and Human Services. An up-to-date fillable Form FA-1B is available for download through this link.

FAQ

Q: What is Form FA-1B?
A: Form FA-1B is a Mobility Assessment and Prior Authorization (PA) Request form in Nevada.

Q: What is the purpose of Form FA-1B?
A: The purpose of Form FA-1B is to request prior authorization for mobility aids and equipment in Nevada.

Q: Who can use Form FA-1B?
A: Form FA-1B can be used by Medicaid participants in Nevada who need prior authorization for mobility aids and equipment.

Q: What information is required on Form FA-1B?
A: Form FA-1B requires information such as the participant's name, Medicaid ID, diagnosis, and justification for the mobility aid or equipment.

Q: How long does it take to get a response to a Form FA-1B request?
A: It typically takes up to 30 days to receive a response to a Form FA-1B request, but urgent requests may be expedited.

Q: Can I appeal a denial of a Form FA-1B request?
A: Yes, you can appeal a denial of a Form FA-1B request by following the appeals process outlined by Nevada Medicaid.

Q: Is there a fee for submitting Form FA-1B?
A: No, there is no fee for submitting Form FA-1B in Nevada.

Q: Can I submit additional documents with Form FA-1B?
A: Yes, you can submit additional documents such as medical records or prescriptions to support your request on Form FA-1B.

ADVERTISEMENT

Instruction Details:

  • This 6-page document is available for download in PDF;
  • Actual and applicable for the current year;
  • Complete, printable, and free.

Download your copy of the instructions by clicking the link below or browse hundreds of other forms in our library of forms released by the Nevada Department of Health and Human Services.

Download Instructions for Form FA-1B Mobility Assessment and Prior Authorization (Pa) Request - Nevada

4.4 of 5 (25 votes)
  • Instructions for Form FA-1B Mobility Assessment and Prior Authorization (Pa) Request - Nevada

    1

  • Instructions for Form FA-1B Mobility Assessment and Prior Authorization (Pa) Request - Nevada, Page 2

    2

  • Instructions for Form FA-1B Mobility Assessment and Prior Authorization (Pa) Request - Nevada, Page 3

    3

  • Instructions for Form FA-1B Mobility Assessment and Prior Authorization (Pa) Request - Nevada, Page 4

    4

  • Instructions for Form FA-1B Mobility Assessment and Prior Authorization (Pa) Request - Nevada, Page 5

    5

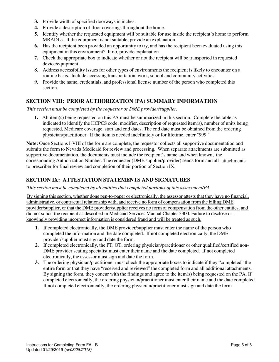
  • Instructions for Form FA-1B Mobility Assessment and Prior Authorization (Pa) Request - Nevada, Page 6

    6

  • Instructions for Form FA-1B Mobility Assessment and Prior Authorization (Pa) Request - Nevada, Page 1
  • Instructions for Form FA-1B Mobility Assessment and Prior Authorization (Pa) Request - Nevada, Page 2
  • Instructions for Form FA-1B Mobility Assessment and Prior Authorization (Pa) Request - Nevada, Page 3
  • Instructions for Form FA-1B Mobility Assessment and Prior Authorization (Pa) Request - Nevada, Page 4
  • Instructions for Form FA-1B Mobility Assessment and Prior Authorization (Pa) Request - Nevada, Page 5
  • Instructions for Form FA-1B Mobility Assessment and Prior Authorization (Pa) Request - Nevada, Page 6
Prev 1 2 3 4 5 6 Next
ADVERTISEMENT

Related Documents