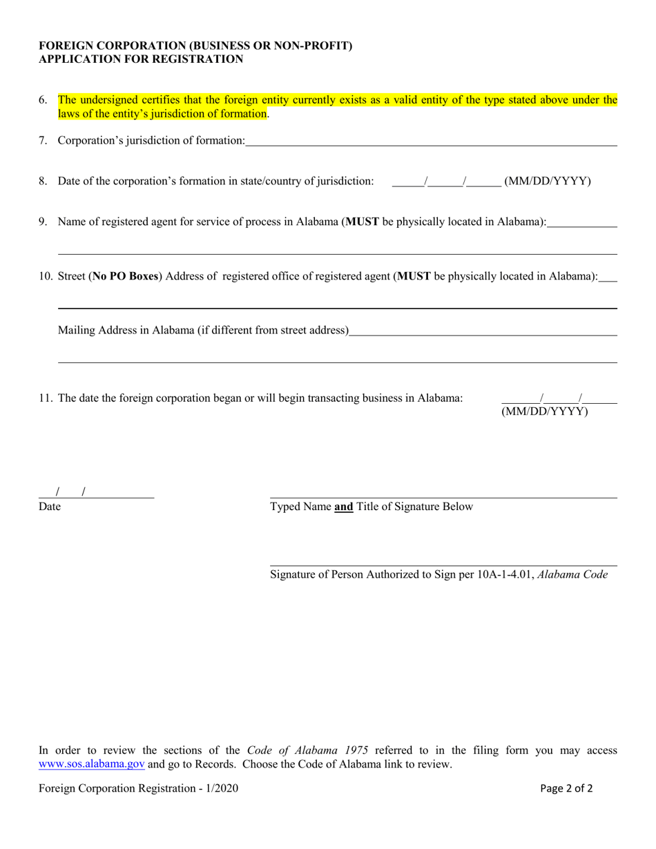
Foreign Corporation (Business or Non-profit) Application for Registration - Alabama

Notification Icon This version of the form is not currently in use and is provided for reference only. Download this version of the document for the current year.

Foreign Corporation (Business or Non-profit) Application for Registration - Alabama

Foreign Corporation (Business or Non-profit) Application for Registration is a legal document that was released by the Alabama Secretary of State - a government authority operating within Alabama.

FAQ

Q: What is a Foreign Corporation?
A: A Foreign Corporation is a corporation that is registered or incorporated in a different state or country and is conducting business in Alabama.

Q: Why do Foreign Corporations need to register in Alabama?
A: Foreign Corporations need to register in Alabama in order to legally conduct business in the state.

Q: How can a Foreign Corporation register in Alabama?
A: A Foreign Corporation can register in Alabama by filing an Application for Registration with the Alabama Secretary of State.

Q: What is the process for registering a Foreign Corporation in Alabama?
A: The process for registering a Foreign Corporation in Alabama involves submitting the completed application form along with the required fees and supporting documents to the Alabama Secretary of State.

Q: What information is needed to complete the Application for Registration?
A: The Application for Registration requires information such as the foreign corporation's name, state or country of incorporation, registered agent in Alabama, and a statement of the corporation's business activities in Alabama.

Q: Are there any additional requirements for Foreign Non-profit Corporations?
A: Yes, Foreign Non-profit Corporations must also include a copy of their Articles of Incorporation, Bylaws, and a statement of their purpose.

Q: What happens after a Foreign Corporation is registered in Alabama?
A: Once a Foreign Corporation is registered in Alabama, they are legally permitted to conduct business in the state and must comply with all applicable laws and regulations.

Q: Is there an annual report requirement for Foreign Corporations in Alabama?
A: Yes, Foreign Corporations registered in Alabama are required to file an annual report with the Alabama Secretary of State, along with the required fees.

Q: What are the consequences of not registering a Foreign Corporation in Alabama?
A: Failure to register a Foreign Corporation in Alabama can result in penalties, fines, and the inability to enforce legal rights in Alabama courts.

ADVERTISEMENT

Form Details:

  • Released on January 1, 2020;
  • The latest edition currently provided by the Alabama Secretary of State;
  • Ready to use and print;
  • Easy to customize;
  • Compatible with most PDF-viewing applications;
  • Fill out the form in our online filing application.

Download a fillable version of the form by clicking the link below or browse more documents and templates provided by the Alabama Secretary of State.

Download Foreign Corporation (Business or Non-profit) Application for Registration - Alabama

4.3 of 5 (13 votes)
  • Foreign Corporation (Business or Non-profit) Application for Registration - Alabama

    1

  • Foreign Corporation (Business or Non-profit) Application for Registration - Alabama, Page 2

    2

  • Foreign Corporation (Business or Non-profit) Application for Registration - Alabama, Page 3

    3

  • Foreign Corporation (Business or Non-profit) Application for Registration - Alabama, Page 1
  • Foreign Corporation (Business or Non-profit) Application for Registration - Alabama, Page 2
  • Foreign Corporation (Business or Non-profit) Application for Registration - Alabama, Page 3
Prev 1 2 3 Next
ADVERTISEMENT

Related Documents