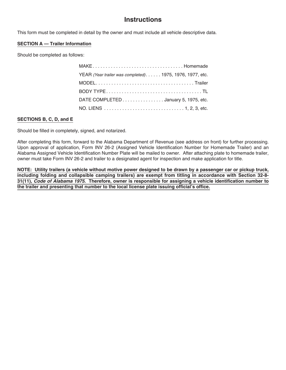
Form INV26-1 Application for Alabama Assigned Vehicle Identification Number for a Homemade Trailer - Alabama

Notification Icon This version of the form is not currently in use and is provided for reference only. Download this version of Form INV26-1 for the current year.

Form INV26-1 Application for Alabama Assigned Vehicle Identification Number for a Homemade Trailer - Alabama

What Is Form INV26-1?

This is a legal form that was released by the Alabama Department of Revenue - a government authority operating within Alabama. As of today, no separate filing guidelines for the form are provided by the issuing department.

FAQ

Q: What is Form INV26-1?
A: Form INV26-1 is the Application for Alabama Assigned Vehicle Identification Number for a Homemade Trailer in Alabama.

Q: What is the purpose of Form INV26-1?
A: The purpose of Form INV26-1 is to apply for an assigned vehicle identification number for a homemade trailer in Alabama.

Q: Can this form be used for other types of vehicles?
A: No, this form is specifically for homemade trailers.

Q: How do I fill out Form INV26-1?
A: You need to provide the necessary information requested on the form, including details about the trailer's construction and ownership.

Q: Are there any fees associated with submitting this form?
A: Yes, there is a fee required to process the application for an assigned vehicle identification number.

Q: Who can I contact for more information about Form INV26-1?
A: For more information, you can contact the Alabama Department of Revenue or your local DMV office.

ADVERTISEMENT

Form Details:

  • Released on May 1, 2019;
  • The latest edition provided by the Alabama Department of Revenue;
  • Easy to use and ready to print;
  • Quick to customize;
  • Compatible with most PDF-viewing applications;
  • Fill out the form in our online filing application.

Download a printable version of Form INV26-1 by clicking the link below or browse more documents and templates provided by the Alabama Department of Revenue.

Download Form INV26-1 Application for Alabama Assigned Vehicle Identification Number for a Homemade Trailer - Alabama

4.3 of 5 (11 votes)
  • Form INV26-1 Application for Alabama Assigned Vehicle Identification Number for a Homemade Trailer - Alabama

    1

  • Form INV26-1 Application for Alabama Assigned Vehicle Identification Number for a Homemade Trailer - Alabama, Page 2

    2

  • Form INV26-1 Application for Alabama Assigned Vehicle Identification Number for a Homemade Trailer - Alabama, Page 1
  • Form INV26-1 Application for Alabama Assigned Vehicle Identification Number for a Homemade Trailer - Alabama, Page 2
Prev 1 2 Next
ADVERTISEMENT