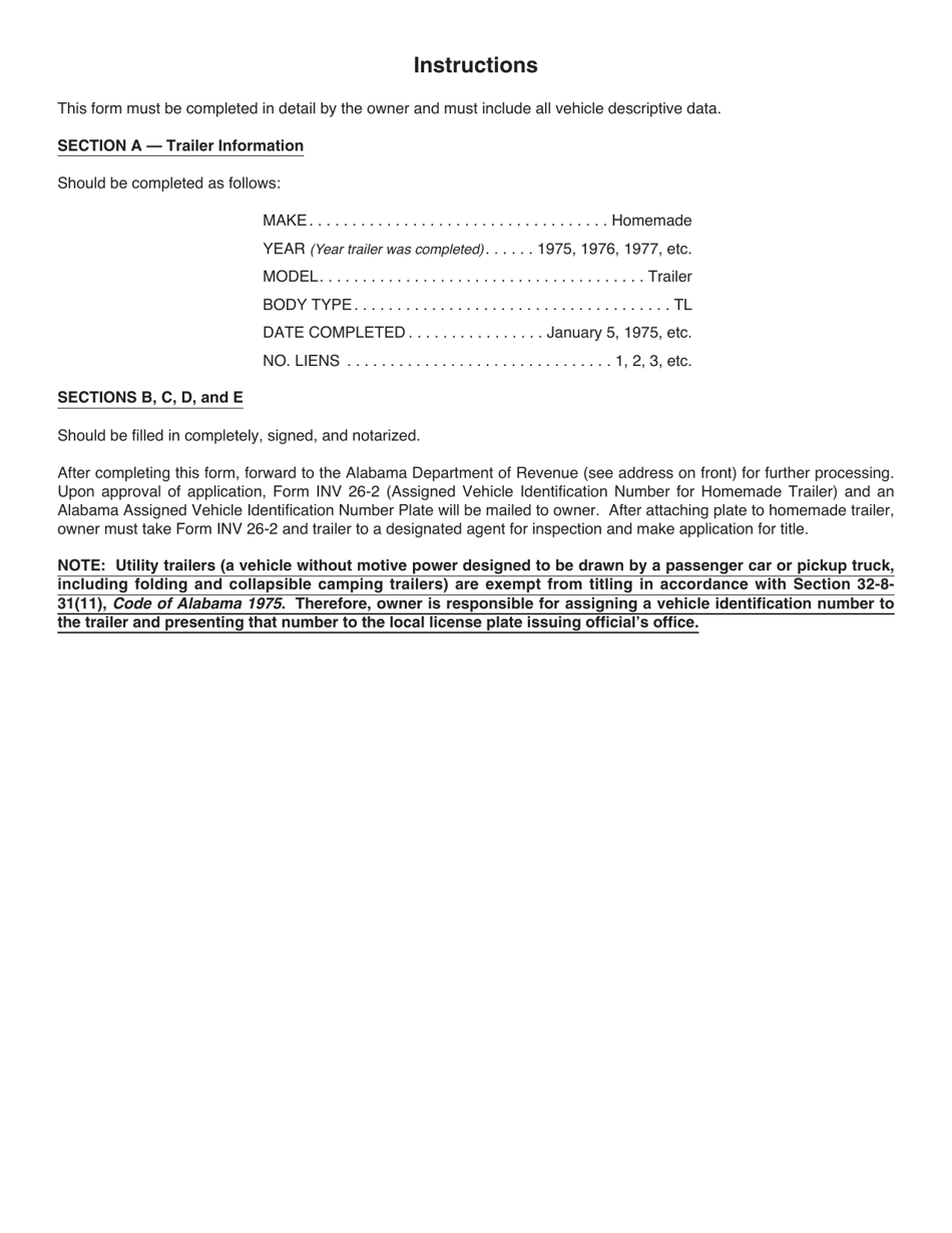
Form INV26-1 Application for Alabama Assigned Vehicle Identification Number for a Homemade Trailer - Alabama

Form INV26-1 Application for Alabama Assigned Vehicle Identification Number for a Homemade Trailer - Alabama

What Is Form INV26-1?

This is a legal form that was released by the Alabama Department of Revenue - a government authority operating within Alabama. As of today, no separate filing guidelines for the form are provided by the issuing department.

Form Details:

  • Released on May 1, 2021;
  • The latest edition provided by the Alabama Department of Revenue;
  • Easy to use and ready to print;
  • Quick to customize;
  • Compatible with most PDF-viewing applications;
  • Fill out the form in our online filing application.

Download a printable version of Form INV26-1 by clicking the link below or browse more documents and templates provided by the Alabama Department of Revenue.

ADVERTISEMENT

Other Revisions

Download Form INV26-1 Application for Alabama Assigned Vehicle Identification Number for a Homemade Trailer - Alabama

4.5 of 5 (53 votes)
  • Form INV26-1 Application for Alabama Assigned Vehicle Identification Number for a Homemade Trailer - Alabama

    1

  • Form INV26-1 Application for Alabama Assigned Vehicle Identification Number for a Homemade Trailer - Alabama, Page 2

    2

  • Form INV26-1 Application for Alabama Assigned Vehicle Identification Number for a Homemade Trailer - Alabama, Page 1
  • Form INV26-1 Application for Alabama Assigned Vehicle Identification Number for a Homemade Trailer - Alabama, Page 2
Prev 1 2 Next
ADVERTISEMENT