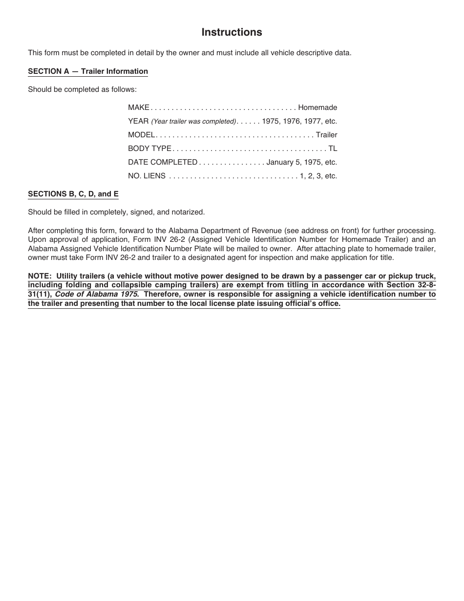
Form INV26-1 Application for Alabama Assigned Vehicle Identification Number for a Homemade Trailer - Alabama

Notification Icon This version of the form is not currently in use and is provided for reference only. Download this version of Form INV26-1 for the current year.

Form INV26-1 Application for Alabama Assigned Vehicle Identification Number for a Homemade Trailer - Alabama

What Is Form INV26-1?

This is a legal form that was released by the Alabama Department of Revenue - a government authority operating within Alabama. As of today, no separate filing guidelines for the form are provided by the issuing department.

FAQ

Q: What is form INV26-1?
A: Form INV26-1 is the Application for Alabama Assigned Vehicle Identification Number for a Homemade Trailer.

Q: Who uses form INV26-1?
A: The form is used by individuals in Alabama who need to obtain a vehicle identification number for a homemade trailer.

Q: What is a homemade trailer?
A: A homemade trailer is a trailer that has been assembled or constructed by an individual and is not produced by a manufacturer.

Q: What is the purpose of form INV26-1?
A: The purpose of form INV26-1 is to apply for an assigned vehicle identification number for a homemade trailer in Alabama.

Q: What information is required on form INV26-1?
A: Form INV26-1 requires information about the trailer, such as its measurements, weight, and previous ownership.

Q: Are there any fees associated with form INV26-1?
A: Yes, there is a fee to obtain an assigned vehicle identification number for a homemade trailer in Alabama.

ADVERTISEMENT

Form Details:

  • Released on August 1, 2018;
  • The latest edition provided by the Alabama Department of Revenue;
  • Easy to use and ready to print;
  • Quick to customize;
  • Compatible with most PDF-viewing applications;
  • Fill out the form in our online filing application.

Download a printable version of Form INV26-1 by clicking the link below or browse more documents and templates provided by the Alabama Department of Revenue.

Download Form INV26-1 Application for Alabama Assigned Vehicle Identification Number for a Homemade Trailer - Alabama

4.5 of 5 (22 votes)
  • Form INV26-1 Application for Alabama Assigned Vehicle Identification Number for a Homemade Trailer - Alabama

    1

  • Form INV26-1 Application for Alabama Assigned Vehicle Identification Number for a Homemade Trailer - Alabama, Page 2

    2

  • Form INV26-1 Application for Alabama Assigned Vehicle Identification Number for a Homemade Trailer - Alabama, Page 1
  • Form INV26-1 Application for Alabama Assigned Vehicle Identification Number for a Homemade Trailer - Alabama, Page 2
Prev 1 2 Next
ADVERTISEMENT