Form SFN59082 Membrane Treatment Technology Long Term 1 - Enhanced Surface Water Treatment Rule Summary - North Dakota

Notification Icon This version of the form is not currently in use and is provided for reference only. Download this version of Form SFN59082 for the current year.

Form SFN59082 Membrane Treatment Technology Long Term 1 - Enhanced Surface Water Treatment Rule Summary - North Dakota

What Is Form SFN59082?

This is a legal form that was released by the North Dakota Department of Environmental Quality - a government authority operating within North Dakota. As of today, no separate filing guidelines for the form are provided by the issuing department.

FAQ

Q: What is the SFN59082 Membrane Treatment Technology Long Term 1?
A: The SFN59082 Membrane Treatment Technology Long Term 1 is a document that provides a summary of the Enhanced Surface Water Treatment Rule in North Dakota.

Q: What is the Enhanced Surface Water Treatment Rule?
A: The Enhanced Surface Water Treatment Rule is a regulation that sets standards for the treatment of surface water to ensure safe drinking water.

Q: Why is the Enhanced Surface Water Treatment Rule important?
A: The rule is important because it helps protect public health by requiring treatment processes that effectively remove contaminants from surface water sources.

Q: What is membrane treatment technology?
A: Membrane treatment technology is a water treatment process that uses a semi-permeable membrane to remove impurities and contaminants from water.

Q: What is the purpose of the SFN59082 document?
A: The purpose of the SFN59082 document is to provide a summary of the Enhanced Surface Water Treatment Rule in North Dakota, specifically focusing on the use of membrane treatment technology.

Q: Who is the document intended for?
A: The document is intended for individuals and entities involved in the water treatment industry, as well as regulatory agencies and interested stakeholders in North Dakota.

ADVERTISEMENT

Form Details:

  • Released on February 1, 2019;
  • The latest edition provided by the North Dakota Department of Environmental Quality;
  • Easy to use and ready to print;
  • Quick to customize;
  • Compatible with most PDF-viewing applications;
  • Fill out the form in our online filing application.

Download a fillable version of Form SFN59082 by clicking the link below or browse more documents and templates provided by the North Dakota Department of Environmental Quality.

Download Form SFN59082 Membrane Treatment Technology Long Term 1 - Enhanced Surface Water Treatment Rule Summary - North Dakota

4.7 of 5 (64 votes)
  • Form SFN59082 Membrane Treatment Technology Long Term 1 - Enhanced Surface Water Treatment Rule Summary - North Dakota

    1

  • Form SFN59082 Membrane Treatment Technology Long Term 1 - Enhanced Surface Water Treatment Rule Summary - North Dakota, Page 2

    2

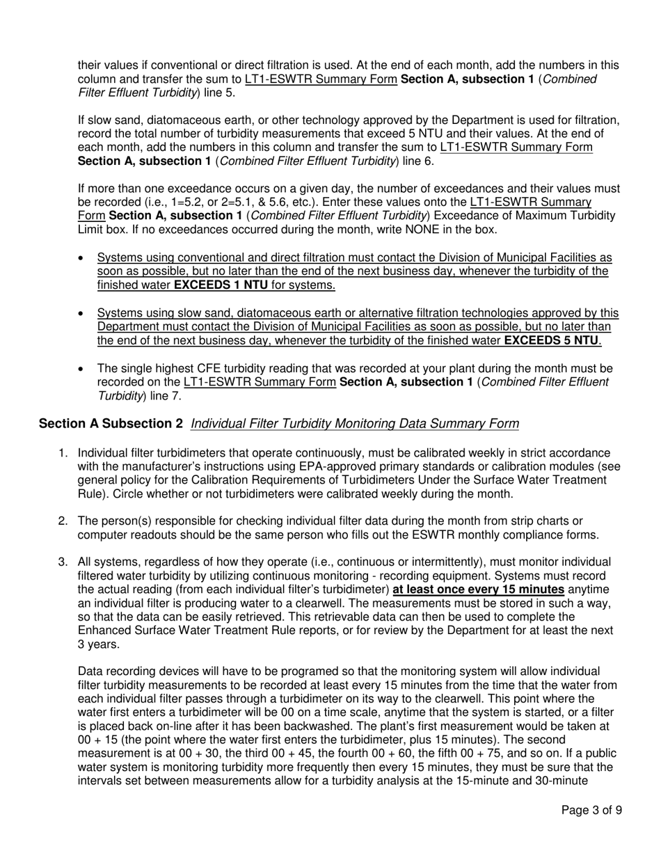
  • Form SFN59082 Membrane Treatment Technology Long Term 1 - Enhanced Surface Water Treatment Rule Summary - North Dakota, Page 3

    3

  • Form SFN59082 Membrane Treatment Technology Long Term 1 - Enhanced Surface Water Treatment Rule Summary - North Dakota, Page 4

    4

  • Form SFN59082 Membrane Treatment Technology Long Term 1 - Enhanced Surface Water Treatment Rule Summary - North Dakota, Page 5

    5

  • Form SFN59082 Membrane Treatment Technology Long Term 1 - Enhanced Surface Water Treatment Rule Summary - North Dakota, Page 6

    6

  • Form SFN59082 Membrane Treatment Technology Long Term 1 - Enhanced Surface Water Treatment Rule Summary - North Dakota, Page 7

    7

  • Form SFN59082 Membrane Treatment Technology Long Term 1 - Enhanced Surface Water Treatment Rule Summary - North Dakota, Page 8

    8

  • Form SFN59082 Membrane Treatment Technology Long Term 1 - Enhanced Surface Water Treatment Rule Summary - North Dakota, Page 9

    9

  • Form SFN59082 Membrane Treatment Technology Long Term 1 - Enhanced Surface Water Treatment Rule Summary - North Dakota, Page 10

    10

  • Form SFN59082 Membrane Treatment Technology Long Term 1 - Enhanced Surface Water Treatment Rule Summary - North Dakota, Page 11

    11

  • Form SFN59082 Membrane Treatment Technology Long Term 1 - Enhanced Surface Water Treatment Rule Summary - North Dakota, Page 1
  • Form SFN59082 Membrane Treatment Technology Long Term 1 - Enhanced Surface Water Treatment Rule Summary - North Dakota, Page 2
  • Form SFN59082 Membrane Treatment Technology Long Term 1 - Enhanced Surface Water Treatment Rule Summary - North Dakota, Page 3
  • Form SFN59082 Membrane Treatment Technology Long Term 1 - Enhanced Surface Water Treatment Rule Summary - North Dakota, Page 4
  • Form SFN59082 Membrane Treatment Technology Long Term 1 - Enhanced Surface Water Treatment Rule Summary - North Dakota, Page 5
  • Form SFN59082 Membrane Treatment Technology Long Term 1 - Enhanced Surface Water Treatment Rule Summary - North Dakota, Page 6
  • Form SFN59082 Membrane Treatment Technology Long Term 1 - Enhanced Surface Water Treatment Rule Summary - North Dakota, Page 7
  • Form SFN59082 Membrane Treatment Technology Long Term 1 - Enhanced Surface Water Treatment Rule Summary - North Dakota, Page 8
  • Form SFN59082 Membrane Treatment Technology Long Term 1 - Enhanced Surface Water Treatment Rule Summary - North Dakota, Page 9
  • Form SFN59082 Membrane Treatment Technology Long Term 1 - Enhanced Surface Water Treatment Rule Summary - North Dakota, Page 10
  • Form SFN59082 Membrane Treatment Technology Long Term 1 - Enhanced Surface Water Treatment Rule Summary - North Dakota, Page 11
Prev 1 2 3 4 5 ... 11 Next
ADVERTISEMENT