Form C1 (ECY060-8) Voucher Support for Projects With Interlocal Costs or Other in-Kind - Washington

Form C1 (ECY060-8) Voucher Support for Projects With Interlocal Costs or Other in-Kind - Washington

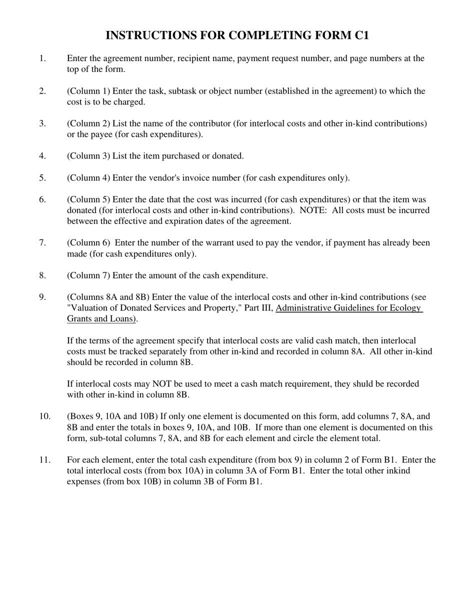
What Is Form C1 (ECY060-8)?

This is a legal form that was released by the Washington State Department of Ecology - a government authority operating within Washington. As of today, no separate filing guidelines for the form are provided by the issuing department.

FAQ

Q: What is Form C1 (ECY060-8)?
A: Form C1 (ECY060-8) is a voucher support form.

Q: What is the purpose of Form C1 (ECY060-8)?
A: The purpose of Form C1 (ECY060-8) is to provide support for projects with interlocal costs or other in-kind contributions in Washington.

Q: What kind of projects does Form C1 (ECY060-8) support?
A: Form C1 (ECY060-8) supports projects with interlocal costs or other in-kind contributions.

Q: What is an interlocal cost?
A: An interlocal cost refers to costs incurred by a project that are shared between multiple local government entities or agencies.

Q: What are in-kind contributions?
A: In-kind contributions are non-monetary resources or services provided to a project, such as volunteer labor or donated materials.

Q: Who can use Form C1 (ECY060-8)?
A: Form C1 (ECY060-8) can be used by entities or agencies involved in projects with interlocal costs or other in-kind contributions in Washington.

ADVERTISEMENT

Form Details:

  • Released on April 1, 2004;
  • The latest edition provided by the Washington State Department of Ecology;
  • Easy to use and ready to print;
  • Quick to customize;
  • Compatible with most PDF-viewing applications;
  • Fill out the form in our online filing application.

Download a printable version of Form C1 (ECY060-8) by clicking the link below or browse more documents and templates provided by the Washington State Department of Ecology.

Download Form C1 (ECY060-8) Voucher Support for Projects With Interlocal Costs or Other in-Kind - Washington

4.3 of 5 (53 votes)
  • Form C1 (ECY060-8) Voucher Support for Projects With Interlocal Costs or Other in-Kind - Washington

    1

  • Form C1 (ECY060-8) Voucher Support for Projects With Interlocal Costs or Other in-Kind - Washington, Page 2

    2

  • Form C1 (ECY060-8) Voucher Support for Projects With Interlocal Costs or Other in-Kind - Washington, Page 3

    3

  • Form C1 (ECY060-8) Voucher Support for Projects With Interlocal Costs or Other in-Kind - Washington, Page 1
  • Form C1 (ECY060-8) Voucher Support for Projects With Interlocal Costs or Other in-Kind - Washington, Page 2
  • Form C1 (ECY060-8) Voucher Support for Projects With Interlocal Costs or Other in-Kind - Washington, Page 3
Prev 1 2 3 Next
ADVERTISEMENT

Related Documents