Form HFS1432B Long Term Care Provider Agreement Supportive Living Facility (Provider Type 28) - Illinois

Form HFS1432B Long Term Care Provider Agreement Supportive Living Facility (Provider Type 28) - Illinois

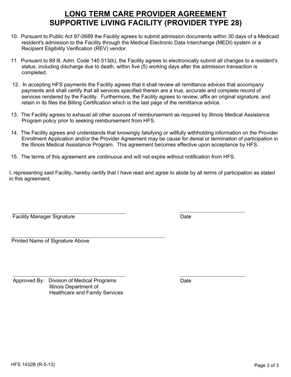
What Is Form HFS1432B?

This is a legal form that was released by the Illinois Department of Healthcare and Family Services - a government authority operating within Illinois. As of today, no separate filing guidelines for the form are provided by the issuing department.

FAQ

Q: What is HFS1432B?
A: HFS1432B is a Long Term Care Provider Agreement for Supportive Living Facility.

Q: What is a Supportive Living Facility?
A: A Supportive Living Facility is a residential setting that provides housing and supportive services for individuals who need help with activities of daily living.

Q: What is Provider Type 28?
A: Provider Type 28 refers to Supportive Living Facilities in Illinois.

Q: What is the purpose of HFS1432B?
A: HFS1432B is used to establish a written agreement between the supportive living facility and the Illinois Department of Healthcare and Family Services (HFS).

Q: Who is involved in the agreement?
A: The agreement is between the supportive living facility and HFS, but it may also involve the resident and their legal representative.

Q: What does the agreement cover?
A: The agreement outlines the responsibilities and obligations of the supportive living facility, including the provision of services and payment rates.

Q: Is HFS1432B specific to Illinois?
A: Yes, HFS1432B is specific to supportive living facilities in Illinois.

ADVERTISEMENT

Form Details:

  • Released on May 1, 2013;
  • The latest edition provided by the Illinois Department of Healthcare and Family Services;
  • Easy to use and ready to print;
  • Quick to customize;
  • Compatible with most PDF-viewing applications;
  • Fill out the form in our online filing application.

Download a fillable version of Form HFS1432B by clicking the link below or browse more documents and templates provided by the Illinois Department of Healthcare and Family Services.

Download Form HFS1432B Long Term Care Provider Agreement Supportive Living Facility (Provider Type 28) - Illinois

4.4 of 5 (10 votes)
  • Form HFS1432B Long Term Care Provider Agreement Supportive Living Facility (Provider Type 28) - Illinois

    1

  • Form HFS1432B Long Term Care Provider Agreement Supportive Living Facility (Provider Type 28) - Illinois, Page 2

    2

  • Form HFS1432B Long Term Care Provider Agreement Supportive Living Facility (Provider Type 28) - Illinois, Page 3

    3

  • Form HFS1432B Long Term Care Provider Agreement Supportive Living Facility (Provider Type 28) - Illinois, Page 1
  • Form HFS1432B Long Term Care Provider Agreement Supportive Living Facility (Provider Type 28) - Illinois, Page 2
  • Form HFS1432B Long Term Care Provider Agreement Supportive Living Facility (Provider Type 28) - Illinois, Page 3
Prev 1 2 3 Next
ADVERTISEMENT

Related Documents