Form FDACS-08385 Compliance Agreement / Phyllophaga Hondura California Ornamental - Florida

Form FDACS-08385 Compliance Agreement / Phyllophaga Hondura California Ornamental - Florida

What Is Form FDACS-08385?

This is a legal form that was released by the Florida Department of Agriculture and Consumer Services - a government authority operating within Florida. As of today, no separate filing guidelines for the form are provided by the issuing department.

FAQ

Q: What is Form FDACS-08385?
A: Form FDACS-08385 is a compliance agreement form used in Florida.

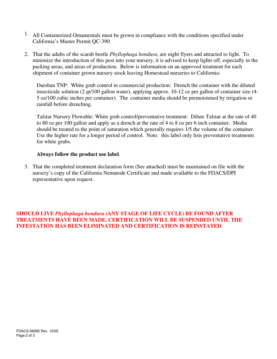
Q: What is Phyllophaga hondura?
A: Phyllophaga hondura is a species of beetle.

Q: What is the purpose of the compliance agreement?
A: The compliance agreement is used for ensuring that Phyllophaga hondura from California does not enter Florida.

Q: What is the significance of Phyllophaga hondura in Florida?
A: Phyllophaga hondura is considered an invasive species in Florida and poses a threat to ornamental plants.

Q: Who needs to fill out the compliance agreement?
A: Individuals or businesses intending to import Phyllophaga hondura from California to Florida need to fill out the compliance agreement.

Q: Are there any penalties for non-compliance?
A: Yes, failure to comply with the agreement may result in penalties and legal consequences.

Q: Is Phyllophaga hondura harmful to humans?
A: No, Phyllophaga hondura is generally not harmful to humans.

Q: What should I do if I find Phyllophaga hondura in Florida?
A: If you spot Phyllophaga hondura in Florida, you should report it to the appropriate authorities.

ADVERTISEMENT

Form Details:

  • Released on October 1, 2005;
  • The latest edition provided by the Florida Department of Agriculture and Consumer Services;
  • Easy to use and ready to print;
  • Quick to customize;
  • Compatible with most PDF-viewing applications;
  • Fill out the form in our online filing application.

Download a printable version of Form FDACS-08385 by clicking the link below or browse more documents and templates provided by the Florida Department of Agriculture and Consumer Services.

Download Form FDACS-08385 Compliance Agreement / Phyllophaga Hondura California Ornamental - Florida

4.8 of 5 (8 votes)
  • Form FDACS-08385 Compliance Agreement/Phyllophaga Hondura California Ornamental - Florida

    1

  • Form FDACS-08385 Compliance Agreement/Phyllophaga Hondura California Ornamental - Florida, Page 2

    2

  • Form FDACS-08385 Compliance Agreement/Phyllophaga Hondura California Ornamental - Florida, Page 3

    3

  • Form FDACS-08385 Compliance Agreement / Phyllophaga Hondura California Ornamental - Florida, Page 1
  • Form FDACS-08385 Compliance Agreement / Phyllophaga Hondura California Ornamental - Florida, Page 2
  • Form FDACS-08385 Compliance Agreement / Phyllophaga Hondura California Ornamental - Florida, Page 3
Prev 1 2 3 Next
ADVERTISEMENT