Form RW7-11A Comparable Data - California

Form RW7-11A Comparable Data - California

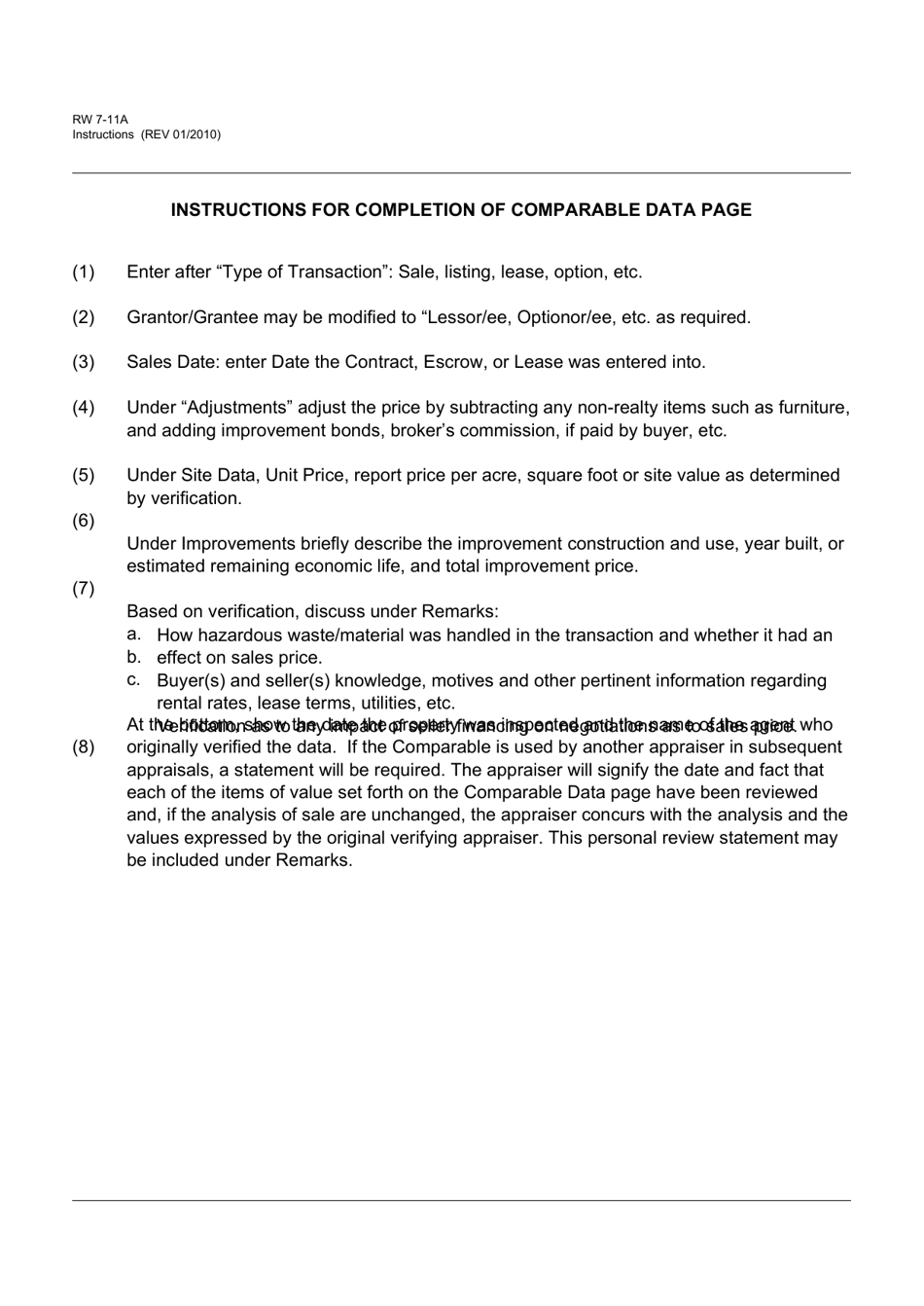
What Is Form RW7-11A?

This is a legal form that was released by the California Department of Transportation - a government authority operating within California. As of today, no separate filing guidelines for the form are provided by the issuing department.

FAQ

Q: What is Form RW7-11A?
A: Form RW7-11A is a document used to collect and report comparable data for real property in California.

Q: What is the purpose of Form RW7-11A?
A: The purpose of Form RW7-11A is to gather information about comparable properties to help determine the value of a specific property.

Q: Who needs to fill out Form RW7-11A?
A: Form RW7-11A is typically completed by appraisers, real estate agents, or others involved in the valuation of real property in California.

Q: What information is required on Form RW7-11A?
A: Form RW7-11A requires details about the comparable properties, such as their location, size, and transaction details.

Q: Are there any fees associated with Form RW7-11A?
A: There are no fees associated with Form RW7-11A. It is a free form provided by the state.

Q: How often do I need to fill out Form RW7-11A?
A: The frequency of filling out Form RW7-11A depends on the specific requirements of the valuation process or the assessor's office.

Q: What should I do if I have questions about Form RW7-11A?
A: If you have questions about Form RW7-11A, you should contact the California State Board of Equalization or your local assessor's office for assistance.

ADVERTISEMENT

Form Details:

  • Released on January 1, 2010;
  • The latest edition provided by the California Department of Transportation;
  • Easy to use and ready to print;
  • Quick to customize;
  • Compatible with most PDF-viewing applications;
  • Fill out the form in our online filing application.

Download a fillable version of Form RW7-11A by clicking the link below or browse more documents and templates provided by the California Department of Transportation.

Download Form RW7-11A Comparable Data - California

4.3 of 5 (14 votes)
  • Form RW7-11A Comparable Data - California

    1

  • Form RW7-11A Comparable Data - California, Page 2

    2

  • Form RW7-11A Comparable Data - California, Page 3

    3

  • Form RW7-11A Comparable Data - California, Page 1
  • Form RW7-11A Comparable Data - California, Page 2
  • Form RW7-11A Comparable Data - California, Page 3
Prev 1 2 3 Next
ADVERTISEMENT