Form RW9-8 Resolution of Necessity Request - California

Form RW9-8 Resolution of Necessity Request - California

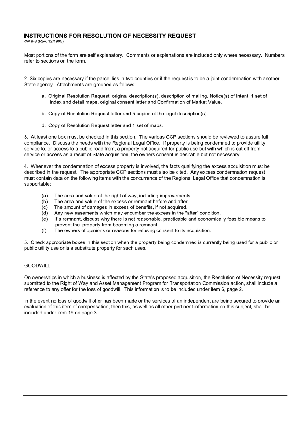
What Is Form RW9-8?

This is a legal form that was released by the California Department of Transportation - a government authority operating within California. As of today, no separate filing guidelines for the form are provided by the issuing department.

FAQ

Q: What is a Form RW9-8?
A: Form RW9-8 is a Resolution of Necessity Request form used in California.

Q: What is a Resolution of Necessity?
A: A Resolution of Necessity is a formal determination by a governmental body that the acquisition of a property is necessary for a public project.

Q: Who uses the Form RW9-8?
A: The Form RW9-8 is used by governmental bodies in California.

Q: What is the purpose of the Form RW9-8?
A: The purpose of the Form RW9-8 is to formally request a Resolution of Necessity for the acquisition of a property.

ADVERTISEMENT

Form Details:

  • Released on December 1, 1995;
  • The latest edition provided by the California Department of Transportation;
  • Easy to use and ready to print;
  • Quick to customize;
  • Compatible with most PDF-viewing applications;
  • Fill out the form in our online filing application.

Download a fillable version of Form RW9-8 by clicking the link below or browse more documents and templates provided by the California Department of Transportation.

Download Form RW9-8 Resolution of Necessity Request - California

4.8 of 5 (10 votes)
  • Form RW9-8 Resolution of Necessity Request - California

    1

  • Form RW9-8 Resolution of Necessity Request - California, Page 2

    2

  • Form RW9-8 Resolution of Necessity Request - California, Page 3

    3

  • Form RW9-8 Resolution of Necessity Request - California, Page 4

    4

  • Form RW9-8 Resolution of Necessity Request - California, Page 1
  • Form RW9-8 Resolution of Necessity Request - California, Page 2
  • Form RW9-8 Resolution of Necessity Request - California, Page 3
  • Form RW9-8 Resolution of Necessity Request - California, Page 4
Prev 1 2 3 4 Next
ADVERTISEMENT