Form RW13-3 Report of Investigation - California

Notification Icon This version of the form is not currently in use and is provided for reference only. Download this version of Form RW13-3 for the current year.

Form RW13-3 Report of Investigation - California

What Is Form RW13-3?

This is a legal form that was released by the California Department of Transportation - a government authority operating within California. As of today, no separate filing guidelines for the form are provided by the issuing department.

FAQ

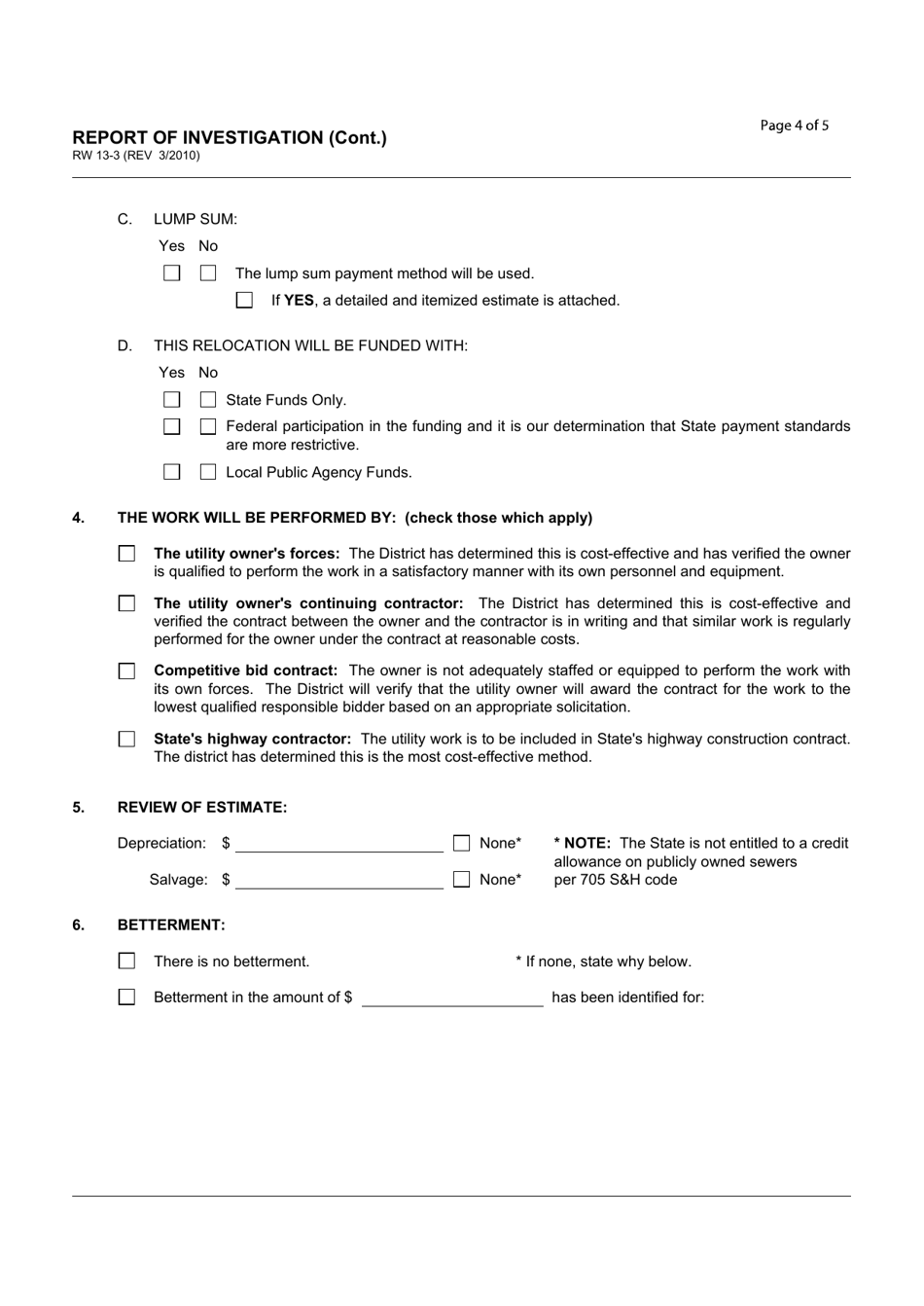
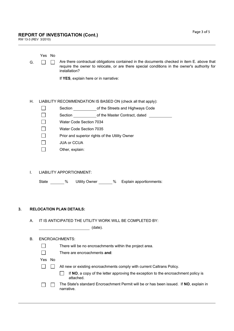
Q: What is the RW13-3 Report of Investigation?
A: The RW13-3 Report of Investigation is a form used in California to report the results of an investigation.

Q: Who uses the RW13-3 Report of Investigation?
A: The RW13-3 Report of Investigation is used by law enforcement agencies and other investigative agencies in California.

Q: What information is included in the RW13-3 Report of Investigation?
A: The RW13-3 Report of Investigation includes details about the investigation, such as the date, time, location, and the names of individuals involved.

Q: Do I need to submit the RW13-3 Report of Investigation?
A: The RW13-3 Report of Investigation is typically not submitted by individuals. It is used by law enforcement agencies to document and report their investigations.

Q: Can I access a completed RW13-3 Report of Investigation?
A: Access to a completed RW13-3 Report of Investigation is generally restricted to authorized personnel and may require a request or court order.

ADVERTISEMENT

Form Details:

  • Released on March 1, 2010;
  • The latest edition provided by the California Department of Transportation;
  • Easy to use and ready to print;
  • Quick to customize;
  • Compatible with most PDF-viewing applications;
  • Fill out the form in our online filing application.

Download a fillable version of Form RW13-3 by clicking the link below or browse more documents and templates provided by the California Department of Transportation.

Download Form RW13-3 Report of Investigation - California

4.8 of 5 (8 votes)
  • Form RW13-3 Report of Investigation - California

    1

  • Form RW13-3 Report of Investigation - California, Page 2

    2

  • Form RW13-3 Report of Investigation - California, Page 3

    3

  • Form RW13-3 Report of Investigation - California, Page 4

    4

  • Form RW13-3 Report of Investigation - California, Page 5

    5

  • Form RW13-3 Report of Investigation - California, Page 6

    6

  • Form RW13-3 Report of Investigation - California, Page 7

    7

  • Form RW13-3 Report of Investigation - California, Page 1
  • Form RW13-3 Report of Investigation - California, Page 2
  • Form RW13-3 Report of Investigation - California, Page 3
  • Form RW13-3 Report of Investigation - California, Page 4
  • Form RW13-3 Report of Investigation - California, Page 5
  • Form RW13-3 Report of Investigation - California, Page 6
  • Form RW13-3 Report of Investigation - California, Page 7
Prev 1 2 3 4 5 ... 7 Next
ADVERTISEMENT