Form 2F-P-513 Petition for Appointment of a Guardian for an Incapacitated Person; Notice of Hearing - Hawaii

Form 2F-P-513 Petition for Appointment of a Guardian for an Incapacitated Person; Notice of Hearing - Hawaii

What Is Form 2F-P-513?

This is a legal form that was released by the Hawaii Family Court - a government authority operating within Hawaii. As of today, no separate filing guidelines for the form are provided by the issuing department.

FAQ

Q: What is Form 2F-P-513?
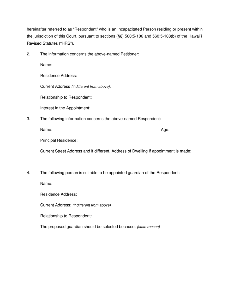
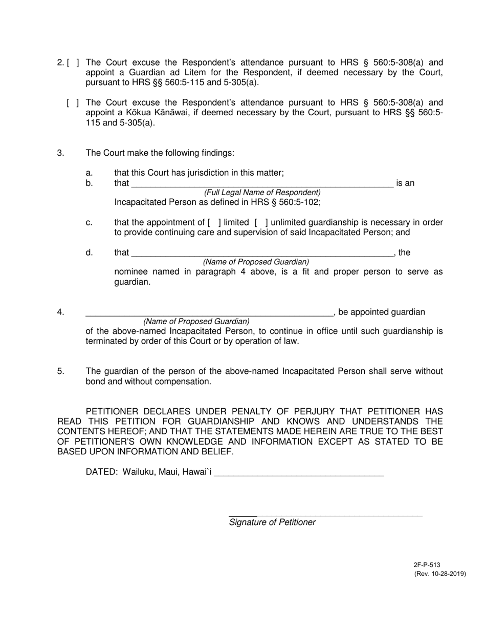
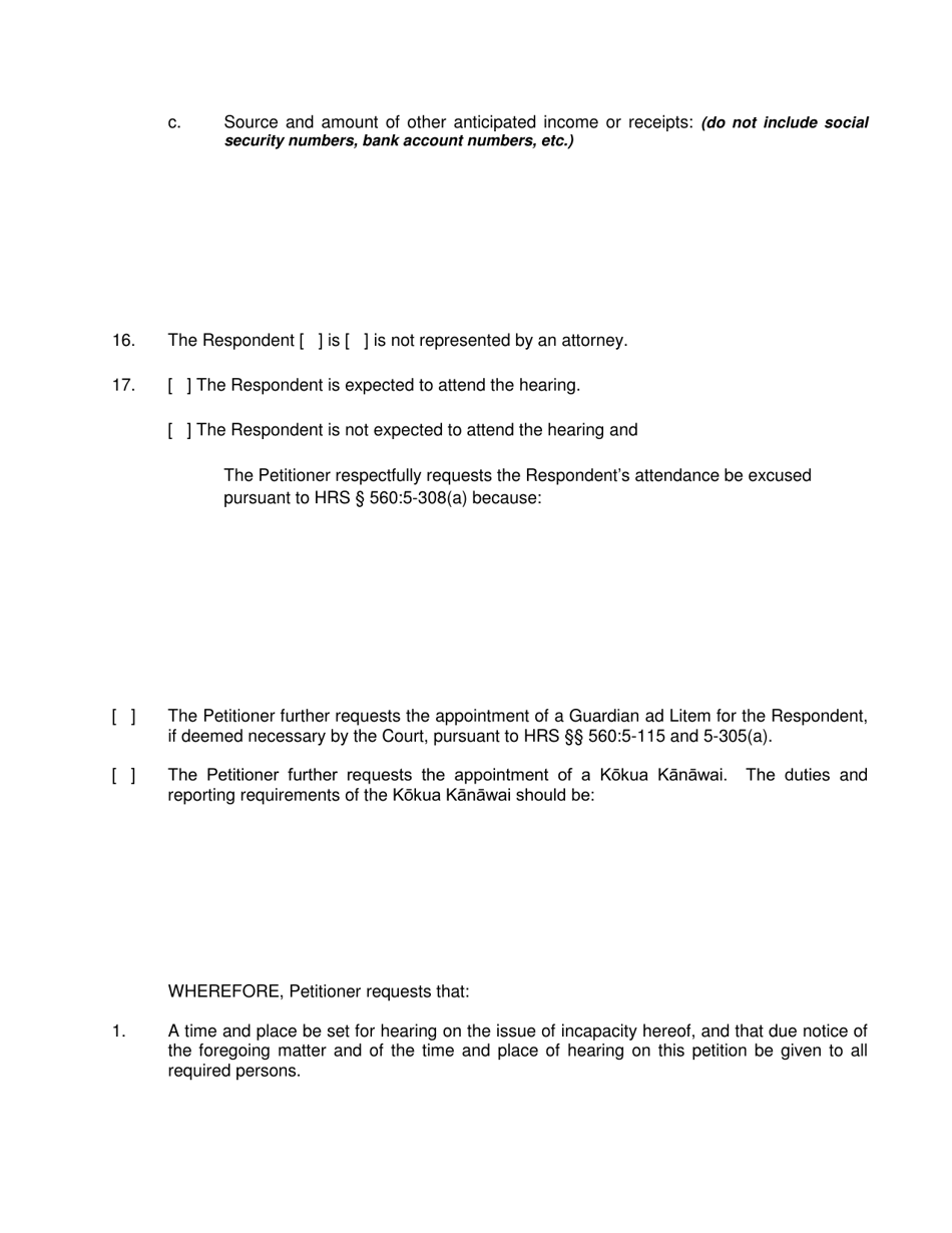
A: Form 2F-P-513 is a petition for appointment of a guardian for an incapacitated person in Hawaii.

Q: What does this form do?
A: This form is used to request the court to appoint a guardian for a person who is unable to manage their own affairs due to incapacity.

Q: Who can file this form?
A: Anyone who believes that a person is incapacitated and in need of a guardian can file this form.

Q: What is the purpose of appointing a guardian?
A: The purpose of appointing a guardian is to ensure that the incapacitated person's personal and financial affairs are properly managed and protected.

Q: What is included in the form?
A: The form includes information about the incapacitated person, their incapacity, the proposed guardian, and the reasons for the appointment.

Q: What happens after filing this form?
A: After filing this form, a hearing will be scheduled where the court will determine whether to grant the petition and appoint a guardian.

Q: Are there any fees associated with filing this form?
A: Yes, there may be filing fees and other costs associated with filing this form. Please check with the court for the specific fees.

Q: Can I get legal assistance for filling out this form?
A: Yes, it is recommended to consult with an attorney or seek legal assistance to ensure that the form is filled out correctly and to understand the legal process involved.

Q: Is there a deadline for filing this form?
A: There may not be a specific deadline, but it is important to file the form as soon as possible if you believe that someone is in need of a guardian.

ADVERTISEMENT

Form Details:

  • Released on October 28, 2019;
  • The latest edition provided by the Hawaii Family Court;
  • Easy to use and ready to print;
  • Quick to customize;
  • Compatible with most PDF-viewing applications;
  • Fill out the form in our online filing application.

Download a fillable version of Form 2F-P-513 by clicking the link below or browse more documents and templates provided by the Hawaii Family Court.

Download Form 2F-P-513 Petition for Appointment of a Guardian for an Incapacitated Person; Notice of Hearing - Hawaii

4.3 of 5 (20 votes)
  • Form 2F-P-513 Petition for Appointment of a Guardian for an Incapacitated Person; Notice of Hearing - Hawaii

    1

  • Form 2F-P-513 Petition for Appointment of a Guardian for an Incapacitated Person; Notice of Hearing - Hawaii, Page 2

    2

  • Form 2F-P-513 Petition for Appointment of a Guardian for an Incapacitated Person; Notice of Hearing - Hawaii, Page 3

    3

  • Form 2F-P-513 Petition for Appointment of a Guardian for an Incapacitated Person; Notice of Hearing - Hawaii, Page 4

    4

  • Form 2F-P-513 Petition for Appointment of a Guardian for an Incapacitated Person; Notice of Hearing - Hawaii, Page 5

    5

  • Form 2F-P-513 Petition for Appointment of a Guardian for an Incapacitated Person; Notice of Hearing - Hawaii, Page 6

    6

  • Form 2F-P-513 Petition for Appointment of a Guardian for an Incapacitated Person; Notice of Hearing - Hawaii, Page 7

    7

  • Form 2F-P-513 Petition for Appointment of a Guardian for an Incapacitated Person; Notice of Hearing - Hawaii, Page 8

    8

  • Form 2F-P-513 Petition for Appointment of a Guardian for an Incapacitated Person; Notice of Hearing - Hawaii, Page 9

    9

  • Form 2F-P-513 Petition for Appointment of a Guardian for an Incapacitated Person; Notice of Hearing - Hawaii, Page 10

    10

  • Form 2F-P-513 Petition for Appointment of a Guardian for an Incapacitated Person; Notice of Hearing - Hawaii, Page 11

    11

  • Form 2F-P-513 Petition for Appointment of a Guardian for an Incapacitated Person; Notice of Hearing - Hawaii, Page 12

    12

  • Form 2F-P-513 Petition for Appointment of a Guardian for an Incapacitated Person; Notice of Hearing - Hawaii, Page 1
  • Form 2F-P-513 Petition for Appointment of a Guardian for an Incapacitated Person; Notice of Hearing - Hawaii, Page 2
  • Form 2F-P-513 Petition for Appointment of a Guardian for an Incapacitated Person; Notice of Hearing - Hawaii, Page 3
  • Form 2F-P-513 Petition for Appointment of a Guardian for an Incapacitated Person; Notice of Hearing - Hawaii, Page 4
  • Form 2F-P-513 Petition for Appointment of a Guardian for an Incapacitated Person; Notice of Hearing - Hawaii, Page 5
  • Form 2F-P-513 Petition for Appointment of a Guardian for an Incapacitated Person; Notice of Hearing - Hawaii, Page 6
  • Form 2F-P-513 Petition for Appointment of a Guardian for an Incapacitated Person; Notice of Hearing - Hawaii, Page 7
  • Form 2F-P-513 Petition for Appointment of a Guardian for an Incapacitated Person; Notice of Hearing - Hawaii, Page 8
  • Form 2F-P-513 Petition for Appointment of a Guardian for an Incapacitated Person; Notice of Hearing - Hawaii, Page 9
  • Form 2F-P-513 Petition for Appointment of a Guardian for an Incapacitated Person; Notice of Hearing - Hawaii, Page 10
  • Form 2F-P-513 Petition for Appointment of a Guardian for an Incapacitated Person; Notice of Hearing - Hawaii, Page 11
  • Form 2F-P-513 Petition for Appointment of a Guardian for an Incapacitated Person; Notice of Hearing - Hawaii, Page 12
Prev 1 2 3 4 5 ... 12 Next
ADVERTISEMENT

Related Documents