Sexual Assault Treatment Plan / Transfer of Pediatric Patients Form - Illinois

Sexual Assault Treatment Plan / Transfer of Pediatric Patients Form - Illinois

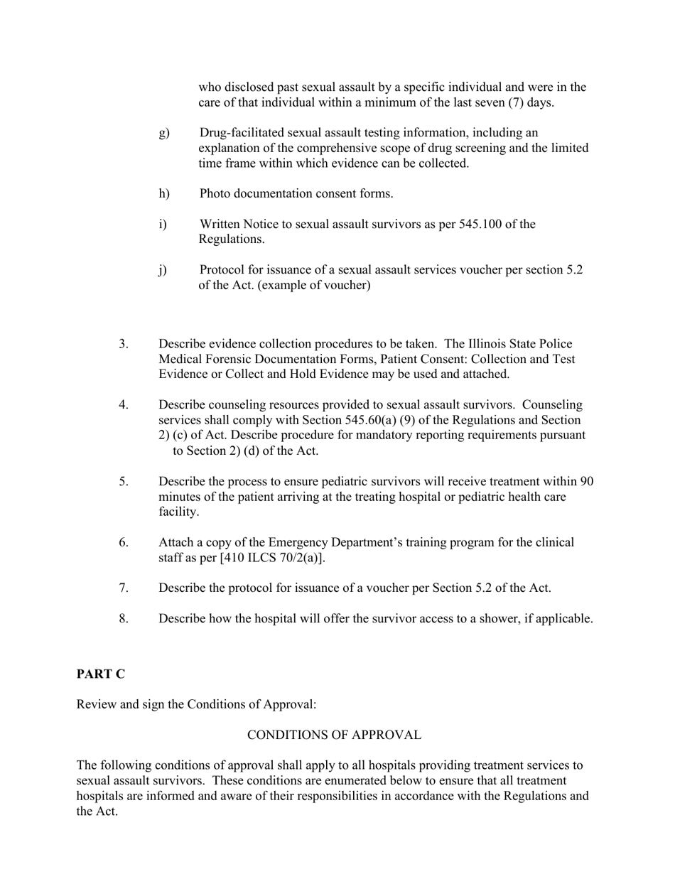
Sexual Assault Treatment Plan/ Transfer of Pediatric Patients Form is a legal document that was released by the Illinois Department of Public Health - a government authority operating within Illinois.

FAQ

Q: What is the Sexual Assault Treatment Plan/Transfer of Pediatric Patients Form?
A: The Sexual Assault Treatment Plan/Transfer of Pediatric Patients Form is a document used in Illinois to outline the medical treatment and transfer process for pediatric patients who have experienced sexual assault.

Q: Who uses the Sexual Assault Treatment Plan/Transfer of Pediatric Patients Form?
A: The form is used by medical professionals and healthcare providers in Illinois who are involved in the care and treatment of pediatric patients who have been sexually assaulted.

Q: What is the purpose of the Sexual Assault Treatment Plan/Transfer of Pediatric Patients Form?
A: The form is used to ensure proper communication and coordination of care between medical providers involved in the treatment of pediatric patients who have experienced sexual assault, and to facilitate the transfer of patients to appropriate healthcare facilities if needed.

Q: What information is included in the Sexual Assault Treatment Plan/Transfer of Pediatric Patients Form?
A: The form includes information about the patient, details of the sexual assault incident, medical treatment provided, recommendations for follow-up care, and contact information for involved healthcare providers.

Q: Is the Sexual Assault Treatment Plan/Transfer of Pediatric Patients Form mandatory in Illinois?
A: Yes, the form is mandatory for medical professionals and healthcare providers in Illinois who are involved in the care and treatment of pediatric patients who have been sexually assaulted.

ADVERTISEMENT

Form Details:

  • The latest edition currently provided by the Illinois Department of Public Health;
  • Ready to use and print;
  • Easy to customize;
  • Compatible with most PDF-viewing applications;
  • Fill out the form in our online filing application.

Download a fillable version of the form by clicking the link below or browse more documents and templates provided by the Illinois Department of Public Health.

Download Sexual Assault Treatment Plan / Transfer of Pediatric Patients Form - Illinois

4.8 of 5 (22 votes)
  • Sexual Assault Treatment Plan/ Transfer of Pediatric Patients Form - Illinois

    1

  • Sexual Assault Treatment Plan/ Transfer of Pediatric Patients Form - Illinois, Page 2

    2

  • Sexual Assault Treatment Plan/ Transfer of Pediatric Patients Form - Illinois, Page 3

    3

  • Sexual Assault Treatment Plan/ Transfer of Pediatric Patients Form - Illinois, Page 4

    4

  • Sexual Assault Treatment Plan / Transfer of Pediatric Patients Form - Illinois, Page 1
  • Sexual Assault Treatment Plan / Transfer of Pediatric Patients Form - Illinois, Page 2
  • Sexual Assault Treatment Plan / Transfer of Pediatric Patients Form - Illinois, Page 3
  • Sexual Assault Treatment Plan / Transfer of Pediatric Patients Form - Illinois, Page 4
Prev 1 2 3 4 Next
ADVERTISEMENT

Related Documents