Form 009-0598 Application for Iowa Grain Dealer License - Iowa

Form 009-0598 Application for Iowa Grain Dealer License - Iowa

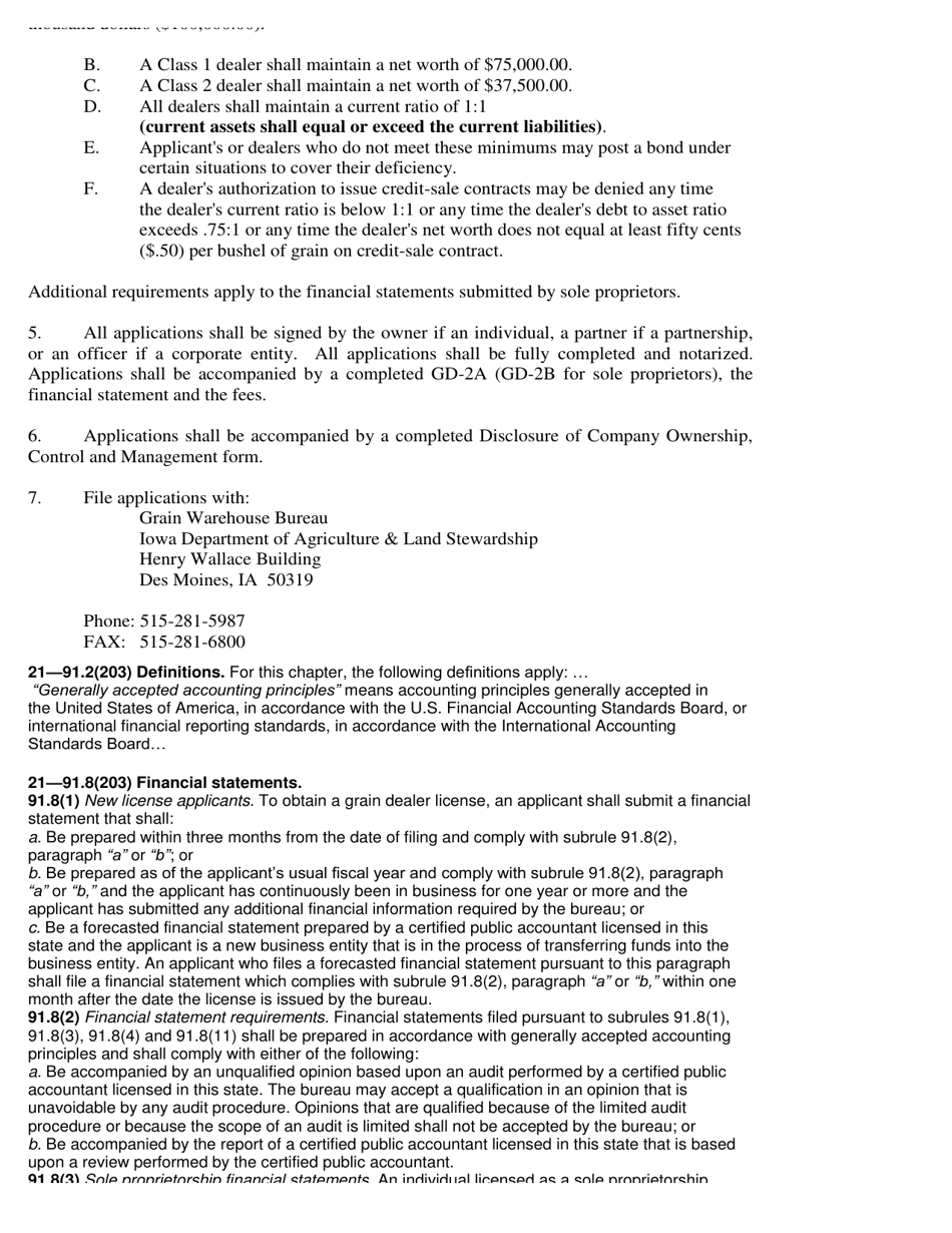
What Is Form 009-0598?

This is a legal form that was released by the Iowa Department of Agriculture and Land Stewardship - a government authority operating within Iowa. As of today, no separate filing guidelines for the form are provided by the issuing department.

FAQ

Q: What is Form 009-0598?
A: Form 009-0598 is the Application for Iowa Grain Dealer License in the state of Iowa.

Q: Who needs to fill out Form 009-0598?
A: Grain dealers in Iowa who want to obtain or renew a license need to fill out this form.

Q: What information is required on Form 009-0598?
A: Form 009-0598 requires information such as business name, address, contact information, financial statements, and bonding information.

Q: When is Form 009-0598 due?
A: The due date for Form 009-0598 varies each year, and it is recommended to check with the Iowa Department of Agriculture and Land Stewardship for the specific deadline.

Q: Is there a fee to submit Form 009-0598?
A: Yes, there is a fee associated with submitting Form 009-0598. The fee amount may differ depending on the circumstances, and it's best to check with the Iowa Department of Agriculture and Land Stewardship for the current fee schedule.

ADVERTISEMENT

Form Details:

  • Released on September 1, 2011;
  • The latest edition provided by the Iowa Department of Agriculture and Land Stewardship;
  • Easy to use and ready to print;
  • Quick to customize;
  • Compatible with most PDF-viewing applications;
  • Fill out the form in our online filing application.

Download a fillable version of Form 009-0598 by clicking the link below or browse more documents and templates provided by the Iowa Department of Agriculture and Land Stewardship.

Download Form 009-0598 Application for Iowa Grain Dealer License - Iowa

4.3 of 5 (14 votes)
  • Form 009-0598 Application for Iowa Grain Dealer License - Iowa

    1

  • Form 009-0598 Application for Iowa Grain Dealer License - Iowa, Page 2

    2

  • Form 009-0598 Application for Iowa Grain Dealer License - Iowa, Page 3

    3

  • Form 009-0598 Application for Iowa Grain Dealer License - Iowa, Page 4

    4

  • Form 009-0598 Application for Iowa Grain Dealer License - Iowa, Page 5

    5

  • Form 009-0598 Application for Iowa Grain Dealer License - Iowa, Page 1
  • Form 009-0598 Application for Iowa Grain Dealer License - Iowa, Page 2
  • Form 009-0598 Application for Iowa Grain Dealer License - Iowa, Page 3
  • Form 009-0598 Application for Iowa Grain Dealer License - Iowa, Page 4
  • Form 009-0598 Application for Iowa Grain Dealer License - Iowa, Page 5
Prev 1 2 3 4 5 Next
ADVERTISEMENT

Related Documents