Form 2 (DNR Form 2542-1377) Npdes Permit Application Form for For Industrial Facilities - Facilities That Do Not Discharge Process Wastewater - Iowa

Form 2 (DNR Form 2542-1377) Npdes Permit Application Form for For Industrial Facilities - Facilities That Do Not Discharge Process Wastewater - Iowa

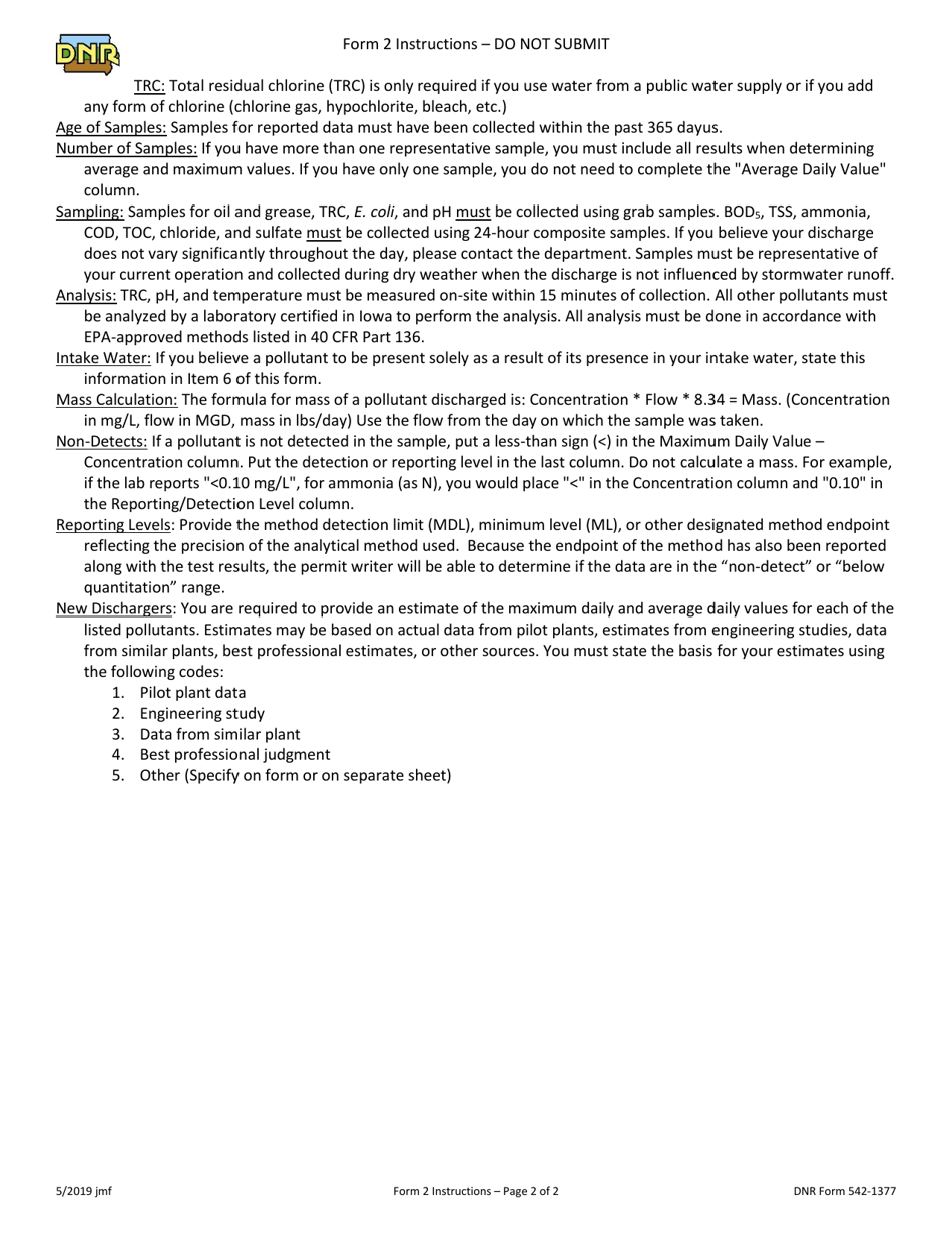
What Is Form 2 (DNR Form 2542-1377)?

This is a legal form that was released by the Iowa Department of Natural Resources - a government authority operating within Iowa. As of today, no separate filing guidelines for the form are provided by the issuing department.

FAQ

Q: What is Form 2?
A: Form 2 is the NPDES Permit Application Form for Industrial Facilities in Iowa.

Q: Who should use Form 2?
A: Form 2 should be used by industrial facilities in Iowa that do not discharge process wastewater.

Q: What is an NPDES permit?
A: An NPDES permit is a permit required by the National Pollutant Discharge Elimination System, which regulates the discharge of pollutants into the waters of the United States.

Q: What is the purpose of Form 2?
A: The purpose of Form 2 is to apply for an NPDES permit for industrial facilities in Iowa that do not discharge process wastewater.

Q: What information is required on Form 2?
A: Form 2 requires information such as facility details, contact information, flow data, effluent limitations, and monitoring plans.

Q: Are there any fees associated with Form 2?
A: Yes, there may be fees associated with submitting Form 2. The specific fees will depend on the type and size of the facility.

Q: Are there any deadlines for submitting Form 2?
A: Yes, there may be deadlines for submitting Form 2. It is important to check with the Iowa Department of Natural Resources for the specific deadlines.

Q: What happens after submitting Form 2?
A: After submitting Form 2, the Iowa Department of Natural Resources will review the application and may issue an NPDES permit if all requirements are met.

Q: What should I do if I have questions about Form 2?
A: If you have questions about Form 2 or the NPDES permit application process, you can contact the Iowa Department of Natural Resources for assistance.

ADVERTISEMENT

Form Details:

  • Released on May 1, 2019;
  • The latest edition provided by the Iowa Department of Natural Resources;
  • Easy to use and ready to print;
  • Quick to customize;
  • Compatible with most PDF-viewing applications;
  • Fill out the form in our online filing application.

Download a fillable version of Form 2 (DNR Form 2542-1377) by clicking the link below or browse more documents and templates provided by the Iowa Department of Natural Resources.

Download Form 2 (DNR Form 2542-1377) Npdes Permit Application Form for For Industrial Facilities - Facilities That Do Not Discharge Process Wastewater - Iowa

4.4 of 5 (29 votes)
  • Form 2 (DNR Form 2542-1377) Npdes Permit Application Form for For Industrial Facilities - Facilities That Do Not Discharge Process Wastewater - Iowa

    1

  • Form 2 (DNR Form 2542-1377) Npdes Permit Application Form for For Industrial Facilities - Facilities That Do Not Discharge Process Wastewater - Iowa, Page 2

    2

  • Form 2 (DNR Form 2542-1377) Npdes Permit Application Form for For Industrial Facilities - Facilities That Do Not Discharge Process Wastewater - Iowa, Page 3

    3

  • Form 2 (DNR Form 2542-1377) Npdes Permit Application Form for For Industrial Facilities - Facilities That Do Not Discharge Process Wastewater - Iowa, Page 4

    4

  • Form 2 (DNR Form 2542-1377) Npdes Permit Application Form for For Industrial Facilities - Facilities That Do Not Discharge Process Wastewater - Iowa, Page 1
  • Form 2 (DNR Form 2542-1377) Npdes Permit Application Form for For Industrial Facilities - Facilities That Do Not Discharge Process Wastewater - Iowa, Page 2
  • Form 2 (DNR Form 2542-1377) Npdes Permit Application Form for For Industrial Facilities - Facilities That Do Not Discharge Process Wastewater - Iowa, Page 3
  • Form 2 (DNR Form 2542-1377) Npdes Permit Application Form for For Industrial Facilities - Facilities That Do Not Discharge Process Wastewater - Iowa, Page 4
Prev 1 2 3 4 Next
ADVERTISEMENT

Related Documents