Form DPSSP0092 Gaming Employee Certification Application - Louisiana

Notification Icon This version of the form is not currently in use and is provided for reference only. Download this version of Form DPSSP0092 for the current year.

Form DPSSP0092 Gaming Employee Certification Application - Louisiana

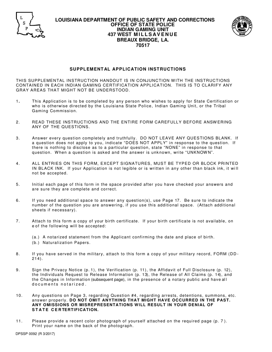
What Is Form DPSSP0092?

This is a legal form that was released by the Louisiana Department of Public Safety & Corrections - a government authority operating within Louisiana. As of today, no separate filing guidelines for the form are provided by the issuing department.

FAQ

Q: What is Form DPSSP0092?
A: Form DPSSP0092 is the Gaming Employee Certification Application for Louisiana.

Q: Who needs to complete Form DPSSP0092?
A: Gaming employees in Louisiana need to complete Form DPSSP0092.

Q: What is the purpose of Form DPSSP0092?
A: The purpose of Form DPSSP0092 is to apply for a Gaming Employee Certification in Louisiana.

Q: Is Form DPSSP0092 specific to a certain industry?
A: Yes, Form DPSSP0092 is specific to the gaming industry in Louisiana.

Q: Are there any fees associated with Form DPSSP0092?
A: Yes, there are fees associated with Form DPSSP0092. Please refer to the instructions for details.

Q: Are there any supporting documents required with Form DPSSP0092?
A: Yes, there may be supporting documents required with Form DPSSP0092. Please refer to the instructions for a complete list.

Q: What happens after submitting Form DPSSP0092?
A: After submitting Form DPSSP0092, your application will be reviewed by the Louisiana Department of Public Safety and Corrections.

Q: How long does it take to process Form DPSSP0092?
A: The processing time for Form DPSSP0092 may vary. Please contact the Louisiana Department of Public Safety and Corrections for more information.

ADVERTISEMENT

Form Details:

  • Released on March 1, 2017;
  • The latest edition provided by the Louisiana Department of Public Safety & Corrections;
  • Easy to use and ready to print;
  • Quick to customize;
  • Compatible with most PDF-viewing applications;
  • Fill out the form in our online filing application.

Download a printable version of Form DPSSP0092 by clicking the link below or browse more documents and templates provided by the Louisiana Department of Public Safety & Corrections.

Download Form DPSSP0092 Gaming Employee Certification Application - Louisiana

4.8 of 5 (28 votes)
  • Form DPSSP0092 Gaming Employee Certification Application - Louisiana

    1

  • Form DPSSP0092 Gaming Employee Certification Application - Louisiana, Page 2

    2

  • Form DPSSP0092 Gaming Employee Certification Application - Louisiana, Page 3

    3

  • Form DPSSP0092 Gaming Employee Certification Application - Louisiana, Page 4

    4

  • Form DPSSP0092 Gaming Employee Certification Application - Louisiana, Page 5

    5

  • Form DPSSP0092 Gaming Employee Certification Application - Louisiana, Page 6

    6

  • Form DPSSP0092 Gaming Employee Certification Application - Louisiana, Page 7

    7

  • Form DPSSP0092 Gaming Employee Certification Application - Louisiana, Page 8

    8

  • Form DPSSP0092 Gaming Employee Certification Application - Louisiana, Page 9

    9

  • Form DPSSP0092 Gaming Employee Certification Application - Louisiana, Page 10

    10

  • Form DPSSP0092 Gaming Employee Certification Application - Louisiana, Page 11

    11

  • Form DPSSP0092 Gaming Employee Certification Application - Louisiana, Page 12

    12

  • Form DPSSP0092 Gaming Employee Certification Application - Louisiana, Page 13

    13

  • Form DPSSP0092 Gaming Employee Certification Application - Louisiana, Page 14

    14

  • Form DPSSP0092 Gaming Employee Certification Application - Louisiana, Page 15

    15

  • Form DPSSP0092 Gaming Employee Certification Application - Louisiana, Page 16

    16

  • Form DPSSP0092 Gaming Employee Certification Application - Louisiana, Page 17

    17

  • Form DPSSP0092 Gaming Employee Certification Application - Louisiana, Page 18

    18

  • Form DPSSP0092 Gaming Employee Certification Application - Louisiana, Page 19

    19

  • Form DPSSP0092 Gaming Employee Certification Application - Louisiana, Page 20

    20

  • Form DPSSP0092 Gaming Employee Certification Application - Louisiana, Page 21

    21

  • Form DPSSP0092 Gaming Employee Certification Application - Louisiana, Page 22

    22

  • Form DPSSP0092 Gaming Employee Certification Application - Louisiana, Page 23

    23

  • Form DPSSP0092 Gaming Employee Certification Application - Louisiana, Page 1
  • Form DPSSP0092 Gaming Employee Certification Application - Louisiana, Page 2
  • Form DPSSP0092 Gaming Employee Certification Application - Louisiana, Page 3
  • Form DPSSP0092 Gaming Employee Certification Application - Louisiana, Page 4
  • Form DPSSP0092 Gaming Employee Certification Application - Louisiana, Page 5
  • Form DPSSP0092 Gaming Employee Certification Application - Louisiana, Page 6
  • Form DPSSP0092 Gaming Employee Certification Application - Louisiana, Page 7
  • Form DPSSP0092 Gaming Employee Certification Application - Louisiana, Page 8
  • Form DPSSP0092 Gaming Employee Certification Application - Louisiana, Page 9
  • Form DPSSP0092 Gaming Employee Certification Application - Louisiana, Page 10
  • Form DPSSP0092 Gaming Employee Certification Application - Louisiana, Page 11
  • Form DPSSP0092 Gaming Employee Certification Application - Louisiana, Page 12
  • Form DPSSP0092 Gaming Employee Certification Application - Louisiana, Page 13
  • Form DPSSP0092 Gaming Employee Certification Application - Louisiana, Page 14
  • Form DPSSP0092 Gaming Employee Certification Application - Louisiana, Page 15
  • Form DPSSP0092 Gaming Employee Certification Application - Louisiana, Page 16
  • Form DPSSP0092 Gaming Employee Certification Application - Louisiana, Page 17
  • Form DPSSP0092 Gaming Employee Certification Application - Louisiana, Page 18
  • Form DPSSP0092 Gaming Employee Certification Application - Louisiana, Page 19
  • Form DPSSP0092 Gaming Employee Certification Application - Louisiana, Page 20
  • Form DPSSP0092 Gaming Employee Certification Application - Louisiana, Page 21
  • Form DPSSP0092 Gaming Employee Certification Application - Louisiana, Page 22
  • Form DPSSP0092 Gaming Employee Certification Application - Louisiana, Page 23
Prev 1 2 3 4 5 ... 23 Next
ADVERTISEMENT

Related Documents