Form DC102D Complaint, Termination of Tenancy Mobile Home Park-Mobile Home Owner (Just-Cause Termination) - Michigan

Notification Icon This version of the form is not currently in use and is provided for reference only. Download this version of Form DC102D for the current year.

Form DC102D Complaint, Termination of Tenancy Mobile Home Park-Mobile Home Owner (Just-Cause Termination) - Michigan

What Is Form DC102D?

This is a legal form that was released by the Michigan District Court - a government authority operating within Michigan. As of today, no separate filing guidelines for the form are provided by the issuing department.

FAQ

Q: What is Form DC102D?
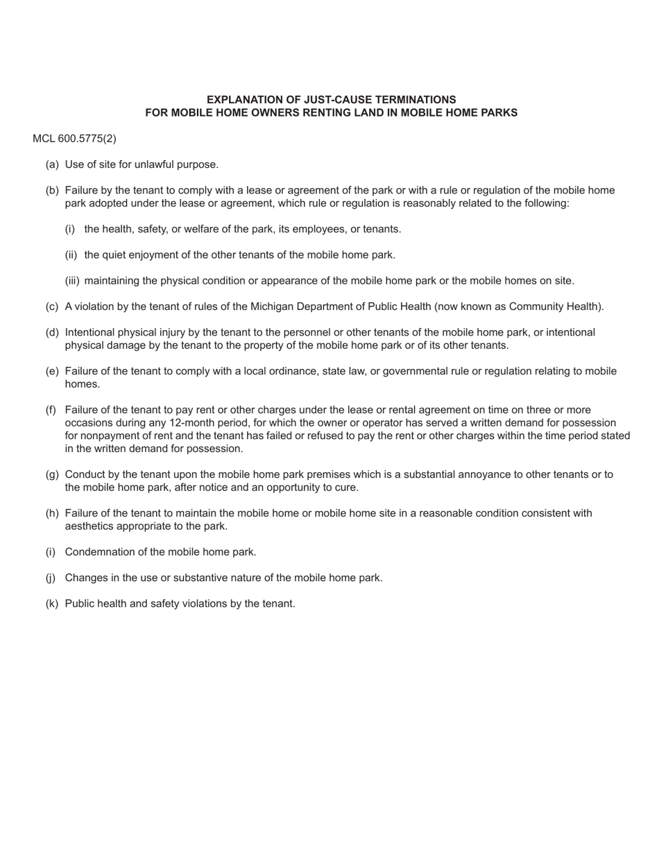
A: Form DC102D is a complaint form for the termination of tenancy in a mobile home park for mobile home owners in Michigan.

Q: What is a Just-Cause Termination?
A: A Just-Cause Termination refers to the termination of a tenancy due to specific reasons stated in the law.

Q: Who can use Form DC102D?
A: Form DC102D can be used by mobile home owners in Michigan who wish to file a complaint for the termination of their tenancy.

Q: What should I include in Form DC102D?
A: Form DC102D requires you to provide your personal information, details about the mobile home park, reasons for termination, and any evidence supporting your complaint.

Q: Do I need to pay any fees to file Form DC102D?
A: There may be filing fees associated with Form DC102D. Contact the local courthouse or legal aid office for fee information.

Q: What is the process after filing Form DC102D?
A: After filing Form DC102D, it will be reviewed by the court. The court may schedule a hearing to evaluate the complaint and make a decision.

Q: What can I expect as an outcome after filing Form DC102D?
A: The outcome will depend on the specific circumstances and evidence provided. The court may decide to grant or deny the termination of tenancy.

Q: Can I seek legal assistance when filing Form DC102D?
A: Yes, you can seek legal assistance to guide you through the process of filing Form DC102D and representing you in court, if needed.

ADVERTISEMENT

Form Details:

  • Released on December 1, 2019;
  • The latest edition provided by the Michigan District Court;
  • Easy to use and ready to print;
  • Available in Arabic;
  • Quick to customize;
  • Compatible with most PDF-viewing applications;
  • Fill out the form in our online filing application.

Download a fillable version of Form DC102D by clicking the link below or browse more documents and templates provided by the Michigan District Court.

Download Form DC102D Complaint, Termination of Tenancy Mobile Home Park-Mobile Home Owner (Just-Cause Termination) - Michigan

4.6 of 5 (18 votes)
  • Form DC102D Complaint, Termination of Tenancy Mobile Home Park-Mobile Home Owner (Just-Cause Termination) - Michigan

    1

  • Form DC102D Complaint, Termination of Tenancy Mobile Home Park-Mobile Home Owner (Just-Cause Termination) - Michigan, Page 2

    2

  • Form DC102D Complaint, Termination of Tenancy Mobile Home Park-Mobile Home Owner (Just-Cause Termination) - Michigan, Page 3

    3

  • Form DC102D Complaint, Termination of Tenancy Mobile Home Park-Mobile Home Owner (Just-Cause Termination) - Michigan, Page 1
  • Form DC102D Complaint, Termination of Tenancy Mobile Home Park-Mobile Home Owner (Just-Cause Termination) - Michigan, Page 2
  • Form DC102D Complaint, Termination of Tenancy Mobile Home Park-Mobile Home Owner (Just-Cause Termination) - Michigan, Page 3
Prev 1 2 3 Next
ADVERTISEMENT