Form JC14B Order of Disposition, out-Of-Home (Delinquency Proceedings) - Michigan

Notification Icon This version of the form is not currently in use and is provided for reference only. Download this version of Form JC14B for the current year.

Form JC14B Order of Disposition, out-Of-Home (Delinquency Proceedings) - Michigan

What Is Form JC14B?

This is a legal form that was released by the Michigan Juvenile Court - a government authority operating within Michigan. As of today, no separate filing guidelines for the form are provided by the issuing department.

FAQ

Q: What is form JC14B?
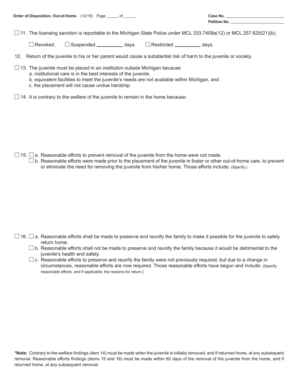
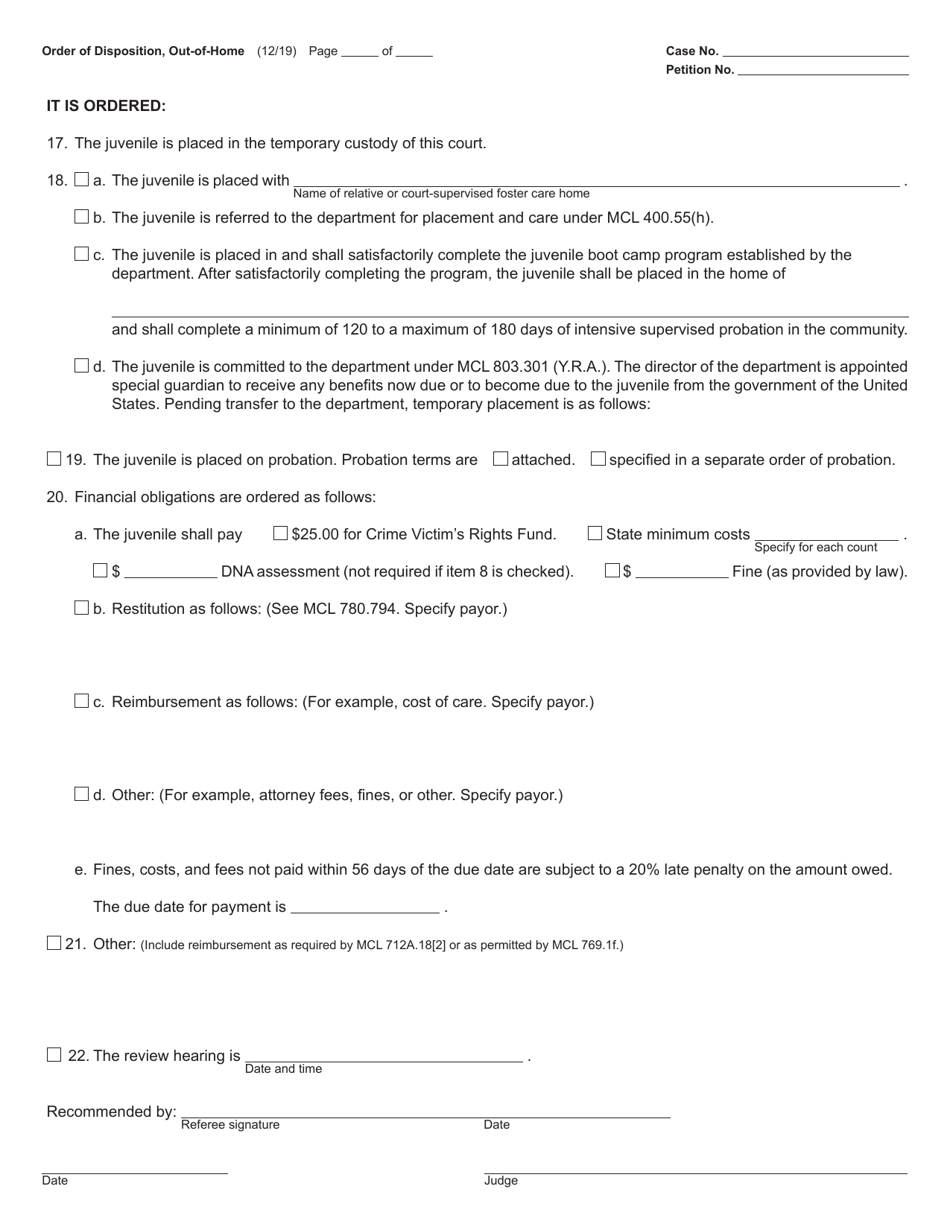
A: Form JC14B is an Order of Disposition specifically for out-of-home placement in delinquency proceedings in Michigan.

Q: What does JC14B form entail?
A: The JC14B form outlines the order for placing a juvenile in an out-of-home facility or program.

Q: When is the JC14B form used?
A: The JC14B form is used in delinquency proceedings when it has been determined that a juvenile requires out-of-home placement.

Q: Who can issue the JC14B order?
A: The JC14B order can be issued by the judge presiding over the delinquency proceedings.

Q: What information is included in the JC14B form?
A: The JC14B form includes details about the juvenile, the reasons for out-of-home placement, the specific facility/program, and the duration of the placement.

Q: Are there any additional documents required along with JC14B?
A: Yes, there may be additional documents required, such as a petition or a social history report, depending on the specific case.

Q: Can the JC14B order be appealed?
A: Yes, the JC14B order can be appealed by the juvenile or their legal guardian, if they believe there are grounds for appeal.

Q: What happens after the JC14B order is issued?
A: After the JC14B order is issued, the juvenile will be placed in the designated out-of-home facility or program as outlined in the order.

ADVERTISEMENT

Form Details:

  • Released on December 1, 2019;
  • The latest edition provided by the Michigan Juvenile Court;
  • Easy to use and ready to print;
  • Quick to customize;
  • Compatible with most PDF-viewing applications;
  • Fill out the form in our online filing application.

Download a fillable version of Form JC14B by clicking the link below or browse more documents and templates provided by the Michigan Juvenile Court.

Download Form JC14B Order of Disposition, out-Of-Home (Delinquency Proceedings) - Michigan

4.7 of 5 (15 votes)
  • Form JC14B Order of Disposition, out-Of-Home (Delinquency Proceedings) - Michigan

    1

  • Form JC14B Order of Disposition, out-Of-Home (Delinquency Proceedings) - Michigan, Page 2

    2

  • Form JC14B Order of Disposition, out-Of-Home (Delinquency Proceedings) - Michigan, Page 3

    3

  • Form JC14B Order of Disposition, out-Of-Home (Delinquency Proceedings) - Michigan, Page 1
  • Form JC14B Order of Disposition, out-Of-Home (Delinquency Proceedings) - Michigan, Page 2
  • Form JC14B Order of Disposition, out-Of-Home (Delinquency Proceedings) - Michigan, Page 3
Prev 1 2 3 Next
ADVERTISEMENT