Form NHJB-2422-DSE Domestic Violence / Stalking Criminal Order of Protection Including Orders and Conditions of Bail - New Hampshire

Notification Icon This version of the form is not currently in use and is provided for reference only. Download this version of Form NHJB-2422-DSE for the current year.

Form NHJB-2422-DSE Domestic Violence / Stalking Criminal Order of Protection Including Orders and Conditions of Bail - New Hampshire

What Is Form NHJB-2422-DSE?

This is a legal form that was released by the New Hampshire Judicial Branch - a government authority operating within New Hampshire. As of today, no separate filing guidelines for the form are provided by the issuing department.

FAQ

Q: What is NHJB-2422-DSE?
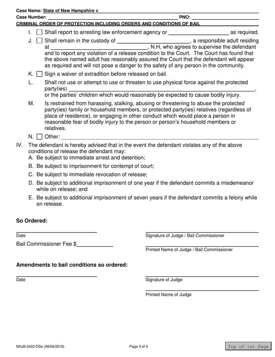
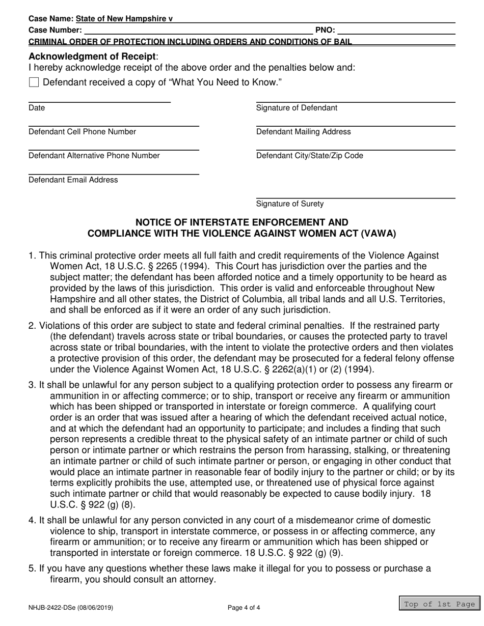
A: NHJB-2422-DSE is a form used in New Hampshire for obtaining a Domestic Violence/Stalking Criminal Order of Protection, including orders and conditions of bail.

Q: What is a Domestic Violence/Stalking Criminal Order of Protection?
A: A Domestic Violence/Stalking Criminal Order of Protection is a court order that aims to protect individuals who are victims of domestic violence or stalking.

Q: What are the orders and conditions of bail included in this form?
A: The orders and conditions of bail included in NHJB-2422-DSE are specific instructions or requirements that a person must follow to ensure the safety and protection of the victim.

Q: Who can use this form?
A: This form can be used by individuals who are victims of domestic violence or stalking and want to obtain a court order to protect themselves.

Q: What should I do after filling out this form?
A: After filling out the NHJB-2422-DSE form, you should submit it to the appropriate court and follow any further instructions provided by the court.

Q: Can I modify the orders and conditions of bail in this form?
A: The orders and conditions of bail in NHJB-2422-DSE are typically determined by the court based on the specific circumstances of the case. It is generally not recommended to modify them without consulting an attorney or the court.

Q: Is there a fee for obtaining the Domestic Violence/Stalking Criminal Order of Protection?
A: There may be a fee associated with obtaining the Domestic Violence/Stalking Criminal Order of Protection. The specific fee amount can vary depending on the court.

Q: What should I do if I need immediate protection?
A: If you need immediate protection, you should contact law enforcement or emergency services in your area.

Q: Are there any other resources available for victims of domestic violence or stalking?
A: Yes, there are several resources available for victims of domestic violence or stalking, including hotlines, counseling services, and legal assistance programs. You can contact your local law enforcement or domestic violence organizations for more information.

ADVERTISEMENT

Form Details:

  • Released on August 6, 2019;
  • The latest edition provided by the New Hampshire Judicial Branch;
  • Easy to use and ready to print;
  • Quick to customize;
  • Compatible with most PDF-viewing applications;
  • Fill out the form in our online filing application.

Download a fillable version of Form NHJB-2422-DSE by clicking the link below or browse more documents and templates provided by the New Hampshire Judicial Branch.

Download Form NHJB-2422-DSE Domestic Violence / Stalking Criminal Order of Protection Including Orders and Conditions of Bail - New Hampshire

4.5 of 5 (17 votes)
  • Form NHJB-2422-DSE Domestic Violence/Stalking Criminal Order of Protection Including Orders and Conditions of Bail - New Hampshire

    1

  • Form NHJB-2422-DSE Domestic Violence/Stalking Criminal Order of Protection Including Orders and Conditions of Bail - New Hampshire, Page 2

    2

  • Form NHJB-2422-DSE Domestic Violence/Stalking Criminal Order of Protection Including Orders and Conditions of Bail - New Hampshire, Page 3

    3

  • Form NHJB-2422-DSE Domestic Violence/Stalking Criminal Order of Protection Including Orders and Conditions of Bail - New Hampshire, Page 4

    4

  • Form NHJB-2422-DSE Domestic Violence / Stalking Criminal Order of Protection Including Orders and Conditions of Bail - New Hampshire, Page 1
  • Form NHJB-2422-DSE Domestic Violence / Stalking Criminal Order of Protection Including Orders and Conditions of Bail - New Hampshire, Page 2
  • Form NHJB-2422-DSE Domestic Violence / Stalking Criminal Order of Protection Including Orders and Conditions of Bail - New Hampshire, Page 3
  • Form NHJB-2422-DSE Domestic Violence / Stalking Criminal Order of Protection Including Orders and Conditions of Bail - New Hampshire, Page 4
Prev 1 2 3 4 Next
ADVERTISEMENT

Related Documents