Form AOC-J-380 Motion and Order to Enforce Rights of Juvenile Delinquency Victim - North Carolina

Form AOC-J-380 Motion and Order to Enforce Rights of Juvenile Delinquency Victim - North Carolina

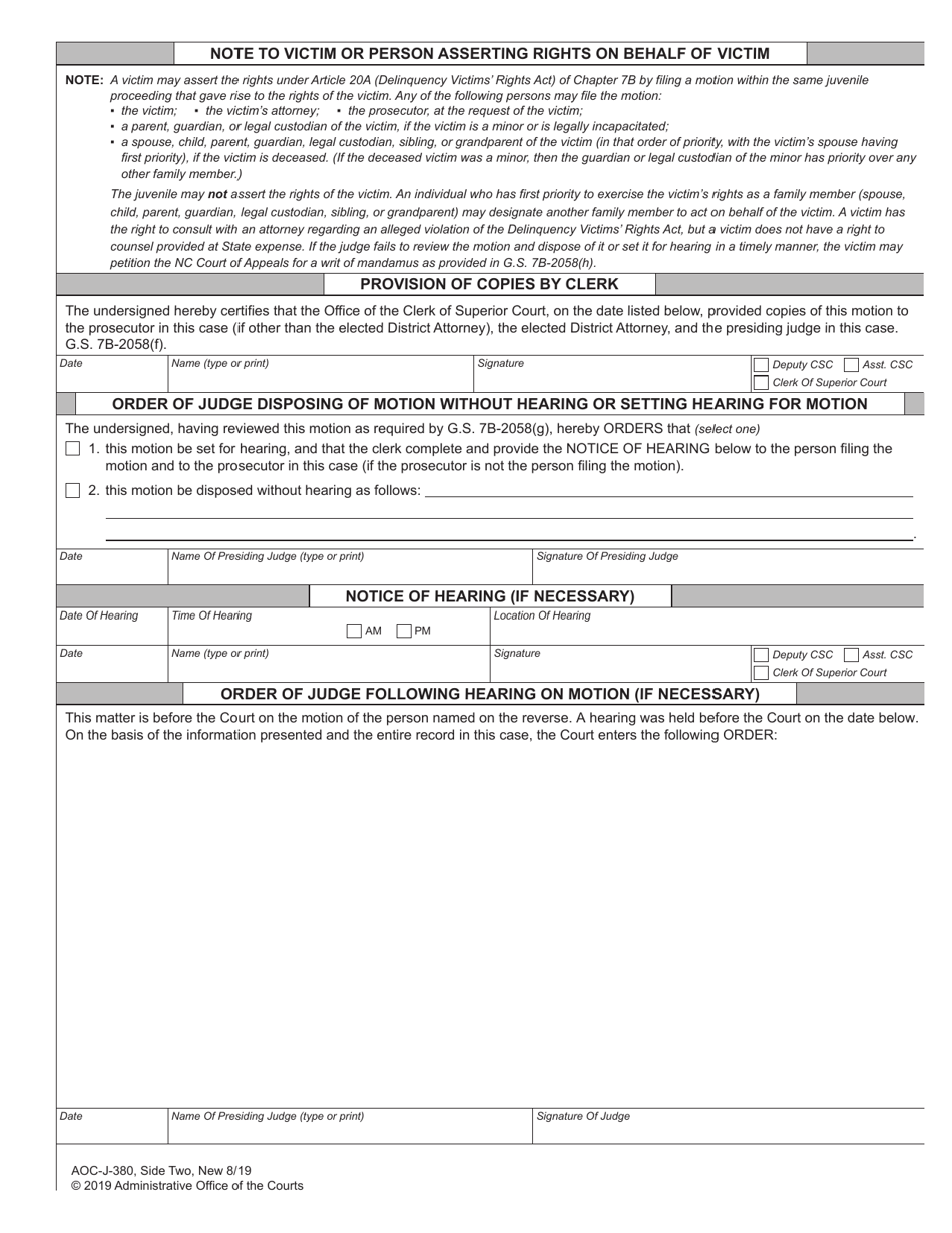
What Is Form AOC-J-380?

This is a legal form that was released by the North Carolina District Court - a government authority operating within North Carolina. As of today, no separate filing guidelines for the form are provided by the issuing department.

FAQ

Q: What is AOC-J-380?
A: AOC-J-380 is a form used in North Carolina for filing a Motion and Order to Enforce Rights of Juvenile Delinquency Victim.

Q: Who can use AOC-J-380?
A: AOC-J-380 is used by juvenile delinquency victims in North Carolina who want to enforce their rights in court.

Q: What is the purpose of AOC-J-380?
A: The purpose of AOC-J-380 is to request the court to enforce the rights of the juvenile delinquency victim, such as the right to be informed, the right to participate, and the right to restitution.

Q: How do I file AOC-J-380?
A: To file AOC-J-380, you need to complete the form, sign it, and submit it to the appropriate court.

Q: What rights can be enforced using AOC-J-380?
A: AOC-J-380 can be used to enforce the rights of juvenile delinquency victims, including the right to be informed about court proceedings, the right to participate in court hearings, the right to receive restitution from the offender, and other related rights.

ADVERTISEMENT

Form Details:

  • Released on August 1, 2019;
  • The latest edition provided by the North Carolina District Court;
  • Easy to use and ready to print;
  • Available in Spanish;
  • Quick to customize;
  • Compatible with most PDF-viewing applications;
  • Fill out the form in our online filing application.

Download a fillable version of Form AOC-J-380 by clicking the link below or browse more documents and templates provided by the North Carolina District Court.

Download Form AOC-J-380 Motion and Order to Enforce Rights of Juvenile Delinquency Victim - North Carolina

4.3 of 5 (25 votes)
  • Form AOC-J-380 Motion and Order to Enforce Rights of Juvenile Delinquency Victim - North Carolina

    1

  • Form AOC-J-380 Motion and Order to Enforce Rights of Juvenile Delinquency Victim - North Carolina, Page 2

    2

  • Form AOC-J-380 Motion and Order to Enforce Rights of Juvenile Delinquency Victim - North Carolina, Page 1
  • Form AOC-J-380 Motion and Order to Enforce Rights of Juvenile Delinquency Victim - North Carolina, Page 2
Prev 1 2 Next
ADVERTISEMENT

Related Documents