Form OP-110214 Attachment B Workplace Violence Assessment Guidelines ("re-View") - Oklahoma

Form OP-110214 Attachment B Workplace Violence Assessment Guidelines ("re-View") - Oklahoma

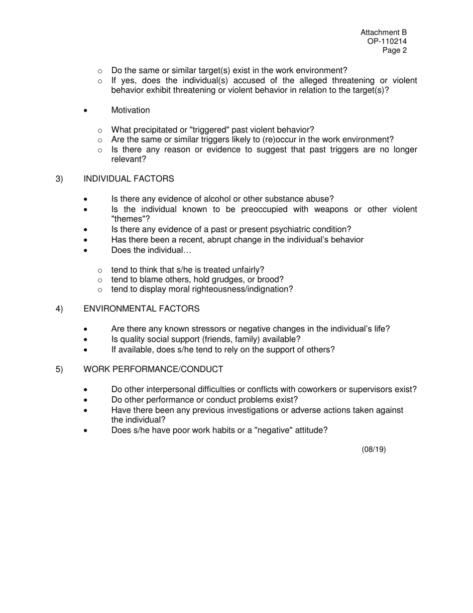
What Is Form OP-110214 Attachment B?

This is a legal form that was released by the Oklahoma Department of Corrections - a government authority operating within Oklahoma.The document is a supplement to Form OP-110214, Workplace Violence Incident Checklist. As of today, no separate filing guidelines for the form are provided by the issuing department.

FAQ

Q: What is the purpose of Form OP-110214 Attachment B?
A: The purpose of Form OP-110214 Attachment B is to provide Workplace Violence Assessment Guidelines for Oklahoma.

Q: What is the abbreviation 're-View' in the document title?
A: 're-View' stands for "Workplace Violence Assessment Guidelines.

Q: Who is the intended audience for this document?
A: The intended audience for this document is employers and organizations in Oklahoma.

Q: What does Form OP-110214 Attachment B cover?
A: Form OP-110214 Attachment B covers guidelines for assessing workplace violence in Oklahoma.

Q: Is this document specific to the United States?
A: No, this document is specific to Oklahoma.

Q: What is the purpose of conducting a workplace violence assessment?
A: The purpose of conducting a workplace violence assessment is to identify and mitigate potential risks and hazards in the workplace.

Q: Are employers required to conduct workplace violence assessments in Oklahoma?
A: While not explicitly mentioned in this document, employers are encouraged to conduct workplace violence assessments for the safety and security of their employees.

ADVERTISEMENT

Form Details:

  • Released on August 1, 2019;
  • The latest edition provided by the Oklahoma Department of Corrections;
  • Easy to use and ready to print;
  • Quick to customize;
  • Compatible with most PDF-viewing applications;
  • Fill out the form in our online filing application.

Download a printable version of Form OP-110214 Attachment B by clicking the link below or browse more documents and templates provided by the Oklahoma Department of Corrections.

Download Form OP-110214 Attachment B Workplace Violence Assessment Guidelines ("re-View") - Oklahoma

4.7 of 5 (16 votes)
  • Form OP-110214 Attachment B Workplace Violence Assessment Guidelines ("re-View") - Oklahoma

    1

  • Form OP-110214 Attachment B Workplace Violence Assessment Guidelines ("re-View") - Oklahoma, Page 2

    2

  • Form OP-110214 Attachment B Workplace Violence Assessment Guidelines (re-View) - Oklahoma, Page 1
  • Form OP-110214 Attachment B Workplace Violence Assessment Guidelines (re-View) - Oklahoma, Page 2
Prev 1 2 Next
ADVERTISEMENT

Related Documents